(一)考虑因数和设计步骤(表16-61)
表16-61 考虑因数和设计步骤

(二)单效蒸发器的计算(图16-4)

图16-4 单效蒸发器示意图
T-加热蒸汽冷凝液的饱和温度(℃); T′-二次蒸汽温度(℃);t0-原料液的温度(℃); ti-溶液的沸点
1.蒸发器的物料衡算
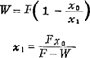
Fx0=(F-W)x1
蒸发量及完成液的浓度,即:

式中 F——进料量(kg/h);
W——蒸发量(kg/h);
x0——原料液中溶质的质量分率;
x1——完成液中溶质的质量分率。
2.蒸发器的焓衡算
DH+Fh0=WH′+(F-W)h1-FhW+QL
或 Q=D(H-hW)=WH′+(F-W)h1-Fh0+QL
式中 D——加热蒸气消耗量(kg/h);
H——加热蒸气的焓(kJ/kg);
h0——原料液的焓(kJ/kg);
hW——冷凝水的焓(kJ/kg);
QL——蒸发器的热损失(kJ/h);
Q——蒸发器的热负荷或传热速率(kJ/h);
H′——二次蒸汽的焓(kJ/kg);
h1——完成液的焓(kJ/kg)。
3.蒸发器的传热面积

式中 S——蒸发器的传热面积(m2);
K——蒸发器的总传热系数(W/m2·℃);
△tm——传热的平均温度差(℃);
Q——蒸发器的热负荷(或传热速率)。
表16-62 蒸发器的总传热系数K值

4.蒸发器的生产能力和生产强度
(1)蒸发器的生产能力:
Q=KS△t=KS(T-t1)
(2)蒸发器的生产强度:


式中r′为二次蒸气的汽化潜热(kJ/kg)。
(三)多效蒸发
1.多效蒸发器的计算
(1)多效蒸发器的物料衡算
整个蒸发系统溶质的物料衡算:
Fx0=(F-W)xn
对任一效作溶质的物料衡算,得
Fx0=(F-W1-W2-…-W1)xi i≥2

(2)多效蒸发器的热量衡算
Fh0+D1(H1-hW)=(F1-W1)h1+W1H1′
第i效:
Qi=Diri
=(FP0-W1CPW-W2CPW-…-Wi-1CPW)(ti-ti-1)+Wiri′
式中 Di=Wi-1;ri=r′i-1;Qi=Wi-1·r′i-1
各效的传热面积为:

式中
;Q3=W2r′2;△t1=T1-t1
△t2=T2-t2=T1′-t2;△t3=T3-t3=T2′-t3
2.多效蒸发的计算步骤
多效蒸发的计算一般采用试算法。
(1)估计各效溶液的浓度

(2)初步确定各溶液的沸点

(3)求各效的蒸发量和传热量。根据蒸发系统的热量衡算,求各效的蒸发量和传热量。
(4)求各效的传热面积。根据传热速率方程计算各效的传热面积。
(四)几种常用加热管管距(表16-63)
表16-63 几种常用加热管的推荐管间距
