网站首页  词典首页


请输入您要查询的字词:

 

字词 蒸发过程的物料衡算
类别 中英文字词句释义及详细解析
释义

蒸发过程的物料衡算


蒸发过程的物料衡算,主要是计算使用一定量的混合卤所需蒸发的水分量、盐类析出量和得到的澄清液量。

计算的依据是物料的收支平衡。即:

所用混合卤总量=澄清液量+NaCl析出量+MgSO4·H2O析出量+蒸发水量

举例:某混合卤组成为:

°Bé KCl NaCl MgCl2 MgSO4 H2O

30.9 20.07 69.93 216.27 72.54 892

设保温温度为100℃。

由混合卤组成可算出==10.8,所得澄清液中比值也应是10.8。由图6-2-9可查出澄清液组成为:

KCl NaCl MgCl2 MgSO4 H2O

3.16 0.96 33.6 1.48 60.8(g/l00g溶液)

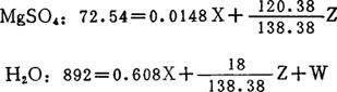
设1L混合卤经过蒸发后,得到澄清液X(g),析出NaClY(g)、析出MgSO4·H2OZ(g),蒸发水量W(g)。则:

KCl:20.07=0.0316X

NaCl:69.93=0.0096X+Y

联立求解,解得:X=635.1g

Y=63.8g

Z=72.5g

W=496g

随便看

 

离鸟网收录3541549条中英文词条,其功能与新华字典、现代汉语词典、牛津高阶英汉词典等各类中英文词典类似,基本涵盖了全部常用中英文字词句的读音、释义及用法,是语言学习和写作的有利工具。

 

Copyright © 2004-2024 vtrois.com All Rights Reserved
更新时间:2026/4/6 20:15:16