网站首页  词典首页


请输入您要查询的字词:

 

字词 蒸煮工段常用术语和生产计算
类别 中英文字词句释义及详细解析
释义

蒸煮工段常用术语和生产计算


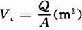
1.蒸球(蒸煮锅)容积的计算

式中:Vc——蒸球(蒸煮锅的容积m3);

Q——每小时计划粗浆产量(kg/h);

A——1米3蒸煮锅容1小时所生产的风干粗浆产量(kg/m3h)

A是常用标志间歇蒸煮设备能力的指标:

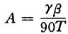
式中:γ——绝干原料堆积重量(kg/m3);

β——蒸煮后粗浆得率(%绝干计);

T——全部蒸煮周期(h);

90——绝干浆量与风干浆量的换算系数。

蒸煮锅的有效容积计算如下:

蒸煮锅的实际容积Va(m3)计算如下:

式中:Va——蒸煮锅的实际的容积(m3)

2.装锅量——每m3锅容装绝干(或风干,须注明)纤维原料重

式中:蒸煮净料量是指蒸煮使用的(经过备料加工后的)绝干或风干原料重量。

蒸煮锅容积是指蒸煮锅的有效容积。

每台蒸煮锅放锅一次为一个生产锅次。

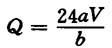
3.单台蒸球(蒸煮锅)的生产能力计算

其中,

式中:Q——单台蒸煮器生产能力〔kg风干浆/(台·d)〕;

a——单位容积产浆量(kg风干浆/m3);

V——锅容量(m3);

b——每次蒸煮周转时间(h);

α——单位容积装锅量(kg绝干料片/m3);

β——纸浆得率(%);

0.9——绝干重量换算成风干重量的系数。

4.蒸煮强度(或蒸煮器利用系数)

蒸煮强度是指每小时每立方米锅容的产浆量。(须注明以绝干或以风干计算)(kg/m3)。

蒸球(蒸煮锅)利用系数是反映蒸球(蒸煮锅)利用程度、蒸煮时间长短、粗浆得率和细浆得率高低的综合技术经济效果的核算。按不同浆种分别核算。

5.总药品量

指碱液(蒸煮液或绿液或白液或黑液)中所含的全部钠盐,又称总钠盐,以Na2O(或NaOH百分含量或g/L表示。

6.总碱量

烧碱法指NaOH+Na2CO3;硫酸盐法指NaOH+Na2S+Na2SO3,均以Na2O(或以NaOH)表示。

7.总可滴定碱

烧碱法是指NaOH+Na2CO3;硫酸盐法指NaOH+Na2S+Na2CO3+Na2SO3,均以Na2O或(NaOH)表示。

8.活性碱和活性度

活性碱:烧碱法指NaOH;硫酸盐法指NaOH+Na2S。以Na2O(或NaOH)表示。

活性度:指碱液中活性碱含量占总可滴定碱含量的百分比,即:

9.有效碱

烧碱法蒸煮液的有效碱指的是NaOH,与活性碱内容相同;硫酸盐法蒸煮液的有效碱指的是,意思是Na2S水解后生成的NaOH和的NaHS,认为有效碱只是NaOH部分。其实此含意并不确切,但沿用至今已成习惯。有效碱均以Na2O(或NaOH)表示。

10.硫化度

系硫酸盐法专用术语。指蒸煮液中Na2S含量占活性碱NaOH+Na2S含量的百分比,即

计算时Na2S与NaOH均换算为Na2O(或NaOH)。

11.亚硫酸化度

系指在中性亚硫酸盐法或碱性亚硫酸盐法的药液中Na2SO3含量占NaOH+Na2SO3含量之和的百分比。即

计算时Na2SO3与NaOH均换算成Na2O或NaOH计。

12.耗碱量(用碱量)

蒸煮时实际消耗的碱量。以活性碱对绝干原料的重量百分比表示。以Na2O(或NaOH)表示。

13.液比

装入蒸煮器内的绝干原料重量(kg)或t,与蒸煮总液量(包括原料中的水分),以L或m3表示之比。

14.黑液与残碱

原料经碱法蒸煮以后,从纸浆中分离出来的残液叫黑液。黑液中含有的残余碱量叫残碱。通常以活性碱(或有效碱)表示。

15.绿液

碱法蒸煮黑液,浓缩后经碱回收炉燃烧,所得熔融物从炉中流出后溶解于稀白液或水中所得的溶液叫绿液。绿液的主要成分,烧碱法为Na2CO3,硫酸盐法主要为Na2CO3+Na2S,还有一定量的Na2SO4、Na2SO3、Na2S2O3和NaOH,也可能有Na2Sn。

16.白液

绿液经Ca(OH)2苛化后的溶液叫白液。其成分为NaOH(烧碱法)或NaOH+Na2S(硫酸盐法),还可能存在着未经反应的NaCO3、Na2SO4、Na2SO3、Na2S2O3、Na2Sn等。白液是供蒸煮用的原始药液,浓度较高,有浓白液之称。用来溶解熔融物的白液,而称稀白液以相区别。

17.蒸煮液

蒸煮液通常是由浓白液和黑液或水混合而成。没有碱回收的纸厂,则用购进的烧碱(NaOH)和硫化碱(Na2S)配制成所需的蒸煮液。配制时,烧碱(固体)和碱化碱(固体)可以分开溶解,然后按比例混合,也可以按比例混合溶解。

由于白液中带有未经反应的Na2CO3,Na2SO4以及其它杂质成分,故蒸煮液中也含有这些成分。这些成分,有些对蒸煮影响不大,有些则有较大的影响。

18.纸浆硬度

纸浆硬度是表示原料经蒸煮后残留在纸浆中的木质素和其他还原性物质的相对含量。测定时,可用的氧化剂有氯、次氯酸盐和高锰酸钾等,其中以用高锰酸钾最为普遍。由于具体的测定条件不同,采用高锰酸钾作氧化剂时,有所谓高锰酸钾值(价),卡伯价(值)和贝克曼价(值)之分。

卡伯值(kappa价)=0.837+0.0323×高锰酸钾值(140mli法)

19.纸浆得率

又称纸浆收获率。原料经蒸煮后所得绝干(或风干)粗浆重量对未蒸煮前绝干(或风干)原料重量的百分比,一般称为粗浆得率。粗浆经筛选后所得绝干(或风干)细浆的重量对绝干(或风干)原料的重量百分比称为细浆得率。

20.吨纸浆耗原料量

应按原料种类及纸浆品种分别计算。

21.吨浆耗碱量

式中:用碱量包括蒸煮使用的外购、回收,企业自产自用的烧碱,硫化碱和亚硫酸钠等。应折成100%NaOH(换算因数请参阅本节三29)。

22.粗渣率(未蒸解率)

表示蒸煮浆的均匀程度,即

计算时粗渣和细浆均需折算为绝干重量或风干重量。

23.蒸煮时间

包括升温和保温时间(升温期的小放汽也包括在内)。

24.非蒸煮时间

包括装锅,送液,大放汽,放锅及检查等时间(蒸球装料后的空运转时间也包括在内)。

25.蒸煮总时间

为蒸煮时间与非蒸煮时间之和。

26.小放汽

蒸煮过程中,当压力升到一定值时,将锅内的空气及其它不凝结气体随蒸汽排出,以减少锅内的假压。立锅蒸煮(苇浆)可利用放小汽促进碱液与原料混合均匀,可以多次甚至连续放小汽。

27.苛化度

碱回收时绿液被苛化的程度,计算式为:

28.还原度

碱回收的绿液中Na2S占Na2SO4,Na2S及任何其它钠的硫化物之和的百分比。即:

29.碱法蒸煮液中有关化学药品分子量及其换算因数

碱法蒸煮中所涉及到的化学药品有NaOH,Na2S,Na2CO3,Na2O等,在进行工艺计算时需要将这些化合物换算为某一种化学药品来表示,其换算因数表5-1-10所示。

表5-1-10 换算因数

随便看

 

离鸟网收录3541549条中英文词条,其功能与新华字典、现代汉语词典、牛津高阶英汉词典等各类中英文词典类似,基本涵盖了全部常用中英文字词句的读音、释义及用法,是语言学习和写作的有利工具。

 

Copyright © 2004-2024 vtrois.com All Rights Reserved
更新时间:2026/4/9 1:29:53