网站首页  词典首页


请输入您要查询的字词:

 

字词 蒸馏法
类别 中英文字词句释义及详细解析
释义

蒸馏法


1.试剂配制

(1)40%氢氧化钠(约10N):称取工业用固体NaOH400g于硬质玻璃烧杯中,加400ml蒸镏水溶解,不断搅拌,以防止烧杯底部固结,冷却后倒入内涂石腊的细颈玻璃瓶或塑料瓶中,加塞放置几天,虹吸出清液,以去CO2的蒸馏水稀释至1L,加盖橡皮塞。

(2)硼酸—指示剂液:称取硼酸(H3BO3)20g加水900ml稍稍加热溶解之,冷却后,加入混合指示剂(0.099g溴甲酚绿和0.066g甲基红溶于100ml乙醇中)20ml,然后以0.1NNaOH调节溶液至红紫色(pH约4.5),最后加水稀释至1000ml,将溶液混合均匀,贮在塑料瓶中。若滴定时酸的浓度大于0.01N时,亦可用另一硼酸—指示剂溶液即:取纯硼酸(H3BO3)20g加水900ml,稍稍加热溶解之,冷却后,加入混合指示剂(0.5g溴甲酚绿和0.1g甲基红溶于100ml乙醇中)5ml,然后以0.1NNaOH或0.1NHCl调节溶液至紫红色(pH4.5),最后加水至1000ml,摇匀,贮于塑料瓶中备用。

(3)0.02N硫酸标准溶液:量取浓H2SO42.8ml,加蒸镏水稀释至5000ml,然后用标准碱或硼砂标定之。

0.01N硫酸标准溶液:将0.02N硫酸标准溶液,用蒸镏水准确地稀释一倍。

2.测定步骤 吸取上述消煮液(任何一种均可)10-20ml(使含N1mg左右),置于半微量蒸馏器①中(图9-1),另备150ml三角瓶,内加2%的含混合指示剂的H3BO3溶液5ml,然后将三角瓶置于冷凝管下端③,使冷凝管口离开硼酸液面约3-4cm,此后从小漏斗⑥处加入40%NaOH溶液10ml,立即关紧⑦⑨和⑩,同时打开⑧,使烧瓶的蒸气通入蒸馏瓶中,蒸馏约需12-15min,蒸馏液体积达50ml,即可停止蒸馏。取下三角瓶,用气压差原理,立即打开⑨关紧⑧,使蒸馏瓶中液体倒流入分水筒④中,再打开⑧,关紧⑨同时打开⑩,排出液体后立即关紧,通蒸汽1-2min后,另用一三角瓶盛蒸馏水接于冷凝管下,打开⑨,关紧⑧通过倒吸用蒸馏水洗涤蒸馏瓶,如此操作重复二次,即可洗净蒸馏瓶,供下次使用。

图9-1 半微量蒸馏装置

1.蒸馏瓶 2.冷凝器 3.承受瓶 4.分水筒 5.蒸汽发生器 6.加碱小漏斗 7、8、9.螺旋夹子 10.开关

另将0.01N(或0.02N)H2SO4标准溶液装入微量滴定管中,滴定硼酸溶液中吸收的氨。滴定过程中颜色由蓝绿经蓝紫突变为紫红色即为滴定终点。测定的同时,从消煮直至滴定必须做2-3个空白试验,空白除不加样品外,其他操作均与样品操作相同,以校正滴定和试剂引起的误差。

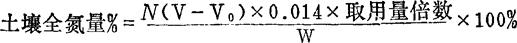
3.结果计算

式中:N——为标准酸的当量浓度;

V——为样品分析所用去的标准酸毫升数;

V0——为空白试验所用去的标准酸毫升数;

0.014——为每毫克当量氮的重量(g);

W——烘干土重。

4.注释

①在蒸馏样品前,必须将蒸馏装置空蒸5分钟左右,以使蒸汽发生器及蒸馏系统中可能存在的含氮杂质去除干净,可用纳氏试剂检查。或者在蒸汽发生器内加入少许硫酸进行酸化,以固定自来水中可能存在的铵离子,但是必须使用玻璃烧瓶代替铁质蒸汽发生器。

②若蒸馏时发生倒吸现象,可立即补加硼酸吸收液,仍可继续蒸馏。

③在蒸馏时必须充分冷凝,否则会使吸收液发热,使氨因受热而挥发(用硼酸吸收时)。

随便看

 

离鸟网收录3541549条中英文词条,其功能与新华字典、现代汉语词典、牛津高阶英汉词典等各类中英文词典类似,基本涵盖了全部常用中英文字词句的读音、释义及用法,是语言学习和写作的有利工具。

 

Copyright © 2004-2024 vtrois.com All Rights Reserved
更新时间:2026/4/7 16:58:51