网站首页  词典首页


请输入您要查询的字词:

 

字词 蒸馏法
类别 中英文字词句释义及详细解析
释义

蒸馏法


(一)适用范围 适用于所有铵态氮肥。是铵态氮测定的标准法。

(二)试剂配制及主要仪器

1.0.1N硫酸标准液。

2.2%硼酸溶液。

3.氧化镁固体 在高温电炉中经500-600℃灼烧半小时,冷后则于密闭玻璃器皿中。

4.定氮混合指示剂 同第九章。

5.普通定氮蒸馏装置见图18-1。

图18-1 普通定氮蒸馏装置

1.蒸气发生器 2.冷凝管 3.开氏瓶 4.吸收瓶 5、6.电炉 7.丫型管 8.橡皮管 9.螺丝夹 10.弹簧夹

(三)测定步骤 称取样品2.000g,溶于蒸馏水中,移入100ml容量瓶中定容,如是溶解度较小的复合肥料,则称量后将样品置于瓷研钵中,加约10ml水,用研杆充分研碎,再加水至30-50ml,混合,静置2-3min。将上层清液移入100ml容量瓶中,同样操作反复进行3次,最后用水将不溶物全部移至容量瓶中,用水稀释至约80ml,用回转振荡混合器,振荡30min。加水定容。

准确吸取待测液10ml放入普通定氮装置的开氏瓶中,加水至70ml左右。另用250ml三角瓶盛2%硼酸30ml,加入定氮混合指示剂3滴,置于蒸馏器的冷凝管下,管口插入溶液中,加固体氧化镁1g左右于开氏瓶中,立即密闭蒸馏系统,进行蒸馏。15min后取下三角瓶,用0.1N硫酸标准液滴定硼酸吸收液中的氨,当溶液由蓝绿色变为淡紫红色时为终点。同时做一空白试验。

如用半微量定氮装置进行蒸馏定氮,取样量可相应减少。

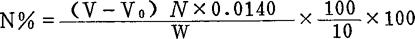
(四)结果计算

式中:V——样品测定消耗的硫酸标准液毫升数;

V0——空白试验消耗的硫酸标准液毫升数;

N——硫酸标准液的当量浓度;

W——样品称量重(g);

——取用量倍数。

随便看

 

离鸟网收录3541549条中英文词条,其功能与新华字典、现代汉语词典、牛津高阶英汉词典等各类中英文词典类似,基本涵盖了全部常用中英文字词句的读音、释义及用法,是语言学习和写作的有利工具。

 

Copyright © 2004-2024 vtrois.com All Rights Reserved
更新时间:2026/4/6 17:07:05