详见GB1038-70。测试方法有压力法、容积法、重量法等,但压力法的准确性高,重复性好,所以国内外普遍采用。其原理是使试样两侧保持一定的压力差,测量低压侧的压力变化,计算其透气量和透气系数。透气室的结构见图10-5-2,试样尺寸为Φ75mm的圆片。

10-5-2 透气室的结构示图
1-上板 2,4-橡皮垫圈 3-试样 5-下板 6-隔板 7-接透气室压力计
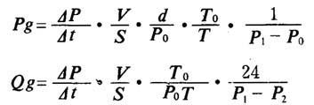
透气系数Pg(cm3·cm/cm2·s·cmHg)和透气量Qg(cm3/m2·atm·24h)按下列式计算:

式中 V——低压侧的体积(cm3)
d——试样的厚度(cm)
S——试样的有效面积(cm2或m2)
T——试验温度(°K)
P1-P2——试样两侧压力差(cmHg或atm)
△P/△t——在稳定透过时,单位时间的低压侧气体压力的变化值(cmHg/s或cmHg/h)
T0,P0——标准状态下的温度(K)和压力(cmHg)