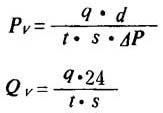
详见GB1037-70。聚氯乙烯广泛应用于包装及农用,因此对其透湿性能的测定在应用和改进制品质量方面有较大的意义。透湿性能的测定方法有重量法、压力法、湿度计法及吸附法等。其测定方法是把试样装于透湿杯中,在一定温度下使试样两侧保持一定的蒸汽压差,通过称重的办法测定透过试样的蒸汽量,试验装置见图10-5-1。将装好试样的透湿杯置于38℃或规定的其它温良干燥器中,每隔一定时间取出,在相同湿度的条件下冷却至室温称重,在达到稳定透过后,按下式计算透湿系数PV(g·cm/cm2·s·cmHg)和透湿量QV(g/m2·24h)。

图10-5-1 装好试样的透湿杯
1-盖 2-金属压圈 3、5-橡皮垫圈 4-试样 6-杯 7-蒸馏水

式中 q/t——在稳定透过时,单位时间内透湿怀重量变化(g/s或g/h)
s——试样的有效面积(cm2或m2)
d——试样的厚度(cm)
△P——试样两侧的蒸汽压差(cmHg)