网站首页  词典首页


请输入您要查询的字词:

 

字词 蛋及蛋制品的检验
类别 中英文字词句释义及详细解析
释义

蛋及蛋制品的检验


(一)采样

鲜蛋在10件以内的抽检一件,10~50件的抽检2件,50~100件的每增加10件,加检一件,所增不足10件时,按10件计算。100件以上的每增加50件加检一件,所不足50件的按50件计算。

(二)感官检验

1.鲜蛋

(1)感官检查:正常新鲜蛋,外壳完整,洁净,将鲜蛋打开之后,蛋壳内部应为纯白蛋,不能有斑点或污浊,卵白透明,卵黄膜不破裂,卵黄卵白分明,不能有血管形成,不能有腐败等异臭味。

(2)光照试验:右手持蛋,左手遮盖光线透视,新鲜蛋整个呈微红色,陈蛋有暗影,腐蛋暗影更多或不透明。

(3)振荡试验:将蛋握在手中,使其摇动,新鲜蛋无哑板声,内容物无流动感,无活动声;陈旧蛋由于水分蒸发,内容物缩小,有振荡声。

2.冰蛋类(冰全蛋、巴氏消毒冰全鸡蛋、冰鸡蛋白、冰鸡蛋黄等)

(1)状态:用餐刀在产品的表面上用力压紧,冰冻良好的冰蛋品刀不能切入内部,即为冰冻坚硬。样品解冻后肉眼观察冰全蛋,冰蛋白全部为均匀液体,冰蛋黄为稠密均匀的膏状体。

(2)气味:在冰冻状和融化后,分别以嗅觉检验,具有本品应有的气味而无其他异味,必要时可结合做下列试验:取样品20g于100mL烧杯中,加入50mL沸水,趁热立即嗅其气味。

(3)色泽:解冻前先观察冷冻状态的色泽,解冻后将蛋液注入50mL无色烧杯中,放在白纸上观察。

(4)杂质:取解冻后的蛋液100mL,置于白搪瓷盘中,缓缓加入清水100~200mL,使成稀释液,然后观察其有无杂质。倘有可疑杂质及未融解的蛋块时,即用镊子取出,再将所余的清液入筛孔为1mm的筛内,过滤,筛上如留杂质,用水冲洗一次,与以上所检出者一并用放大镜检查。

(三)理化检验

1.蛋粉的水分测定

按第二章第一节测定。

2.油量(三氯甲烷浸出物)的测定

(1)仪器:脂肪浸油管:长150mm,内径18mm。大口脂肪瓶:体积150mL。

(2)试剂:中性三氯甲烷:内含1%的无水乙醇。提纯方法:中性三氯甲烷以等量水洗一次,同时按三氯甲烷体积20∶1的比例加入氢氧化钠溶液(10%),振摇洗涤2次,静置分层,倾去水层,再用等量的水充分洗涤2~3次至呈中性,静置分层。倾三氯甲烷入盛有过量的无水氯化钙瓶中,用力振荡,使三氯甲烷脱水。将脱水后的三氯甲烷于蒸馏瓶中,在80℃水浴上重蒸馏。最初馏出液弃去。馏出液以酚酞为指示剂,用乙酸钠溶液检查是否中性。馏出液若为中性,则经无水硫酸钠脱水,置于棕色瓶中。每1000mL中加入10mL无水乙醇,备用。

(3)操作:精确称取试样1g,移入脂肪浸油管内(底部扎以滤纸),样品上部覆以少许脱脂棉,用洁净的玻璃棒将脱脂棉和蛋粉轻轻推至底部。注意不要使玻璃棒上沾有蛋粉。将脂肪管、橡皮圈或铁丝使悬于脂肪瓶上部(记下脂肪瓶的号码与所称之恒重的质量),用中性三氯甲烷120mL分12次注入,每次约10mL(加三氯甲烷时将附着管壁的试样冲洗入管底,必须使全部试样浸透),通过浸油管滤入已知质量的脂肪瓶内(每次必须滤尽后再加)。最后将脂肪管取出,用少许三氯甲烷冲洗底部滤纸,洗液也滴入脂肪瓶内,移脂肪瓶于水浴上接冷凝管,回收氯仿。将脂肪瓶置于80℃烘箱中烘3h或100℃定温烘箱中烘2h,取出移入干燥器内,经30min冷却称量。以后每烘1h,称量一次至先后2次称量相差不超过2mg为止。

(4)计算:

式中 m1——浸出物的质量(g);

m——样品的质量(g)。

3.游离脂肪酸的测定

(1)原理:将蛋中油脂用三氯甲烷提取后,以乙醇钠标准溶液,测定其游离脂肪酸(以油酸计)含量。

(2)试剂:

①中性三氯甲烷:同本节五 (三)2(2)。

②酚酞指示液:乙醇溶液(10g/L)。

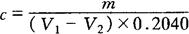
③乙醇钠标准溶液(0.05mol/L):量取800mL无水乙醇,置于锥形瓶中,将1g金属钠切成碎片,分次加入无水乙醇中,待作用完毕后,摇匀,密塞,静置过夜,将澄清液倾入棕色瓶中,并按下法标定。

准确称取约0.2g在105~110℃干燥至恒重的基准邻苯二甲酸氢钾,加50mL新煮沸冷却过的蒸馏水,振荡使其溶解,加3滴酚酞指示液,用乙醇钠溶液滴定至初现粉红色0.5min不退,同时做试剂空白试验。

式中 c——乙醇钠标准溶液的实际浓度(mol/L);

m——邻苯二甲酸氢钾的质量(g);

V1——邻苯二甲酸氢钾消耗乙醇钠溶液的体积(mL);

V2——试剂空白消耗乙醇钠溶液的体积(mL);

0.2040——与1.00mL乙醇钠标准溶液(1.000mol/L)相当的邻苯二甲酸氢钾的质量(g)。

(3)操作步骤:将测定脂肪后所得干燥浸出物以30mL中性三氯甲烷溶解,加3滴酚酞指示液,用乙醇钠标准溶液(0.05mol/L)滴定,至溶液呈现粉红色0.5min不退色为终点。

(4)计算:

式中 x——样品中游离脂肪酸的含量(以油酸计)(g/100g);

V——样品消耗乙醇钠标准溶液的体积(mL);

c——乙醇钠标准溶液的实际浓度(mol/L);

m——测定脂肪时所得干燥浸出物的质量(g);

0.2820——与1.00mL标准溶液(1.000mol/L)相当的油酸质量(g)。

(5)注意:配制乙醇钠溶液时,钠与乙醇作用放出氢气,故应离火远些。金属钠切下的表面碎片应放回原煤油液中保存,切勿接触水,以免着火,配制时戴上眼镜与手套以做好防护。乙醇钠溶液的浓度容易改变,需每星期标定一次。

4.干蛋白的水溶物测定

操作:称取研细混匀的试样10g(精确至0.001g)于250mL烧杯中,先加水约20mL,用玻璃棒轻轻搅拌,再加水约150mL,待全部溶解后,注入500mL容量瓶中。洗净烧杯中残留物,加水至刻度,充分摇匀。静置2h后,再继续摇匀,取出溶液约80mL置于100mL离心管中,以3000r/min的转速离心30min。等溶液透明清亮后,吸取50mL,移入已恒重的蒸发皿中,在水浴上蒸干后,于100℃干燥2h,置干燥器内30min,称量。以后每干燥1h称一次,至先后二次质量相差不超过1mg。

计算:

式中 m——样品质量(g);

m1——测定用样品水溶物质量(g)。

5.干蛋白打擦度的测定

仪器:霍勃脱氏打擦度机。

操作:称量所制备的研碎品43g,置于500mL烧杯中,加水100mL,搅拌后再加水200mL,待其完全溶解后(至少4~6h),移入打擦机的铁锅内,另用130mL水分数次洗净烧杯,一并倾入铁锅内。按机的2号、3号速度依次搅拌1.5min,然后取下铁锅,迅速削平泡沫,以米尺量其中心处的泡沫高度。

6.铅、砷的测定

参见第二章第二节。

(四)微生物检验

参见第二章第三节。

随便看

 

离鸟网收录3541549条中英文词条,其功能与新华字典、现代汉语词典、牛津高阶英汉词典等各类中英文词典类似,基本涵盖了全部常用中英文字词句的读音、释义及用法,是语言学习和写作的有利工具。

 

Copyright © 2004-2024 vtrois.com All Rights Reserved
更新时间:2026/5/31 20:31:12