网站首页  词典首页


请输入您要查询的字词:

 

字词 蛋氨酸的测定
类别 中英文字词句释义及详细解析
释义

蛋氨酸的测定


方法一:B-S法测定蛋氨酸含量

Barker和Summerson提出了在浓硫酸中,蛋氨酸抑制乳酸的特效反应进行测定,此法不受其他氨基酸干扰,专一性强,快速简便,灵敏、准确。

该法的原理为:当蛋氨酸加入到一定量的乳酸中,在浓硫酸和羟基-联苯(PHD)存在下,蛋氨酸抑制乳酸与PHD的颜色反应,随蛋氨酸量增加,有色化合物吸收值成比例下降。在乳酸量为20微克,蛋氨酸在5~45微克范围内符合比尔定律,可在650nm下进行比色测定。

试剂

(1)4%硫酸铜水溶液:称4克硫酸铜,定容至100毫升;

(2)1.5%P-羟基-联苯的0.2NKOH溶液。

(3)0.1毫克/毫升乳酸水溶液。

(4)DL-蛋氨酸标准溶液(0.1毫克/毫升),以0.1M盐酸配制。

(5)硫酸(分析纯)。

操作步骤

1.标准曲线的绘制:取蛋氨酸标准溶液0,0.05,0.15,0.20,0.25,0.35,0.45毫升放入试管中,除0管外,均加0.2毫升乳酸(20微克)溶液,加蒸馏水稀释至1毫升,均加入0.05毫升4%硫酸铜,6毫升浓硫酸后,混合物置沸水浴中加热5分钟,然后冷却至室温,再加入0.1毫升PHD试剂。混匀溶液,于30℃温度下保温30分钟(间歇摇动一次)。如果PHD不能完全溶解,需在沸水浴中再加热1.5分钟。以试剂空白为对照,于560nm下测定其光密度。以光密度为纵坐标、蛋氨酸含量(微克)为横坐标绘制标准曲线。

2.样品中蛋氨酸的测定:称脱脂谷物样品100毫克,加6N盐酸溶液2毫升,在105℃水解24小时(以上步骤需在封闭的安瓿中或带塞的试管中进行)。加水稀释,用50毫克活性炭脱色,过滤,以1N盐酸溶液洗涤炭粉,先用5毫升热的,然后用2毫升冷的,滤液与洗液合并,用氢氧化钠溶液调pH至3左右,加0.1M盐酸溶液稀释成50毫升。取0.8毫升样品液。加入0.2毫升乳酸(20微克)液,0.05毫升4%硫酸铜溶液及6毫升浓硫酸,在自来水中冷却。混合物置沸水浴中加热5分钟,然后冷却至室温,再加0.1毫升PHD试剂,混匀,于30℃下保温30分钟(间歇摇动一次)。若PHD不能完全溶解,需在沸水浴中再加热1.5分钟,以试剂空白为对照(不加乳酸),于560nm下同上进行比色测定。

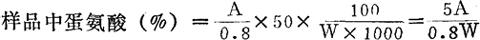
3.计算:由样品测定的光密度值查蛋氨酸标准曲线得A微克蛋氨酸。代入下式。

式中:A:样品测定液中蛋氨酸含量(微克)

W:样品称重(毫克)。

〔注〕:①含淀粉多的样品预先采用100倍5%三氯醋酸煮沸。溶解淀粉。

②用盐酸水解蛋白质样品时,蛋氨酸有不同程度的破坏。在水解过程中,加一些保护剂,如巯基乙酸,巯基乙醇,苯酚,草酸等。可提高蛋氨酸回收率。

③硫酸浓度,Cu++含量,对显色有影响,溶液中硫酸浓度在28N以下不显色,而且混浊,30N以上才形成紫红色透明溶液。Cu++催化乙醛与PHD反应,随其含量增加,显色强度增大。

④显色温度一般在30℃,显色30分钟为适。显色后的溶液在室温下放置,2小时内基本上是稳定的(每10分钟增加光密度值0.004~0.006)。

⑤在乳酸中,吸收值降低的蛋氨酸含量范围为5~45微克。

方法二:比色法测定蛋氨酸含量

蛋氨酸与硝普盐〔Fe(NO)(CN)6〕反应呈有色化合物。蛋氨酸测定范围为25~200微克。

试剂

(1)14.3N氢氧化钠溶液:溶解57.2克氢氧化钠于蒸馏水中,稀释至100毫升。

(2)盐酸-磷酸混合溶液:9毫升浓盐酸与1毫升85%磷酸混合而成。

(3)1%甘氨酸溶液。

(4)10%硝普盐(一亚硝基五氰络铁酸盐)溶液。

(5)1N盐酸溶液。

(6)20%盐酸溶液。

(7)标准蛋氨酸溶液的制备:称50毫克蛋氨酸,加入0.1N盐酸溶液溶解,并稀释至50毫升。取此液5毫升加0.1N盐酸至50毫升,混匀。即为每毫升含100微克蛋氨酸。

操作步骤

1.标准曲线的制备:取8支带塞试管,分别加入0、0.3、(.6、0.9,1.2,1.5,1.7,1.9毫升蛋氨酸标准液(100微克/毫升),均以0.1N盐酸稀释至5毫升,按顺序加入下述试剂并混匀:1毫升14.3N氢氧化钠,1毫升1%的甘氨酸溶液及0.3毫升10%的新配制的硝普盐溶液,在30℃~40℃水浴中加热5~10分钟,然后用冰水冷却2分钟,并加入5毫升盐酸-磷酸混合液,摇匀,再于室温水浴中冷却5~10分钟,于波长540nm下比色测定,以光密度值为纵坐标,蛋氨酸含量为横坐标,在直角坐标纸上作标准曲线。

2.样品中蛋氨酸含量的测定:称50毫克谷物样品放入安瓿中,加入2毫升20%盐酸并放入105℃恒温箱中水解24小时。稀释后用50毫克活性炭脱色,过滤,炭粉用1N盐酸洗涤,先用5毫升热的,然后用2毫升冷的1NHCl洗。滤液与洗液合并。并用5N的氢氧化钠溶液调节pH至3.5,然后用0.1N盐酸稀释至100毫升。

吸取样品液5毫升,按顺序加入1毫升14.3N的氢氧化钠,1毫升1%甘氨酸溶液及0.3毫升10%的新配硝普盐(硝普酸钠)溶液。在30℃~40℃水浴中加热5~10分钟,然后用冷水冷却2分钟并加入5毫升盐酸-磷酸混合液,摇匀,再于室温下冷却5~10分钟,在540nm波长下比色测定其光密度。

3.计算:

式中:A:待测样品液中蛋氨酸含量(微克),由标准曲线中查出;

W:样品重(克);

100:样品稀释液的总体积(毫升);

106:换算克为微克;

100:换算为百分含量。

随便看

 

离鸟网收录3541549条中英文词条,其功能与新华字典、现代汉语词典、牛津高阶英汉词典等各类中英文词典类似,基本涵盖了全部常用中英文字词句的读音、释义及用法,是语言学习和写作的有利工具。

 

Copyright © 2004-2024 vtrois.com All Rights Reserved
更新时间:2026/4/7 16:53:45