网站首页  词典首页


请输入您要查询的字词:

 

字词 观测误差
类别 中英文字词句释义及详细解析
释义

观测误差


1.气泡居中误差

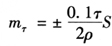
视线水平是以气泡居中或符合为根据的,气泡的居中或符合凭人眼来判断,也存在判断误差。气泡居中的精度主要决定于水准管的分划值,一般认为水准管居中的误差约为0.1分划值,采用符合水准器气泡居中的误差大约是直接观察气泡居中误差的1/2。因此,它对读数产生的误差为:

式中 τ——水准管的分划值(″);

ρ——弧度的秒值,ρ=206265″;

S——视线长。

为了减小气泡居中误差的影响,应对视线长加以限制,观测时应使气泡精确地居中或符合。

2.水准尺的估读误差

水准尺上的毫米数都是估读的,估读误差与望远镜的放大率及视线的长度有关,通常按下式计算其影响:

式中 ν——望远镜的放大倍率;

60″——人眼的分辨能力。

在各种等级的水准测量中,对望远镜的放大率和视线长的限制都有一定的要求。此外,在观测中还应注意消除视差,并避免在成像不清晰时进行读数。

3.水准尺不直的误差

水准尺没有立直时,无论向哪一侧倾斜都使读数偏大,并且这种误差随尺的倾斜角和读数的增大而增大。例如,尺有3°的倾斜,读数超过1m时,可产生2mm的误差。为使尺能扶直,水准尺上最好装有水准器。

随便看

 

离鸟网收录3541549条中英文词条,其功能与新华字典、现代汉语词典、牛津高阶英汉词典等各类中英文词典类似,基本涵盖了全部常用中英文字词句的读音、释义及用法,是语言学习和写作的有利工具。

 

Copyright © 2004-2024 vtrois.com All Rights Reserved
更新时间:2026/4/8 5:53:57