网站首页  词典首页


请输入您要查询的字词:

 

字词 角度测量的误差来源
类别 中英文字词句释义及详细解析
释义

角度测量的误差来源


在角度测量过程中,造成测角误差的因素有三种:仪器误差、观测误差、外界条件的影响。

1.仪器误差

仪器虽经过检验及校正,但总会有残余的误差存在。仪器误差的影响,一般都是系统性的,可以在工作中通过一定的方法予以消除或减小。

仪器误差中的视线不垂直横轴、横轴不垂直竖轴、照准部偏心及竖盘的指标差等对测角造成的误差均可通过取盘左、盘右读数的平均值或取盘左、盘右观测角值的平均值的方法来加以抵消或大大减弱。

2.观测误差

观测误差主要有:对中误差(测站偏心)、目标偏心、照准误差及读数误差。

(1)对中误差

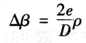
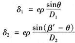
对中误差的大小,取决于仪器对中装置的状况及操作的仔细程度,它对测角精度的影响如图3-24所示。设O为地面标志点,O′为仪器中心,OO′的长度为对中时的偏心距e,则实际测得的水平角为β′而不是应测的β,两者差值为:

△β=β-β′=δ12

图3-24 对中误差对测角精度的影响

由于δ1和δ2很小,所以存在

式中 θ——观测方向与偏心方向夹角;

D1——测站点到A的距离;

D2——测站点到B的距离。

可得:

当β′=180°,θ=90°时,取D1=D2=D,则△β有最大值

当D=100m,e=3mm时,△β=12.4″;当D=50m,e=3mm时,△β=25″。

可见,边长越短,偏心距e越大,则对测角的影响也越大。所以在测水平角时,边长越短,对中的精度要求越高,对中时越需要仔细。

(2)目标偏心

在测角时,通常都要在地面点上设置观测标志,如花杆、垂球等。造成目标偏心的原因是标志与地面点对得不准,或者标志没有铅垂,而照准的标志上部与地面标志点偏移。

与测站偏心类似,偏心距越大,边长越短,则目标偏心对测角的影响越大。所以在观测角度时,标杆底部要对准地面点并且要竖直,在瞄准时应尽可能的瞄准目标的底部。短边测角时,尽可能用垂球作为观测标志。

(3)照准误差

照准误差大小与人眼的分辨能力、望远镜的放大率有关。人眼的分辨能力一般为60″,设望远镜的放大率为ν,则照准时的分辨能力为60″/ν。一般DJ6型光学经纬仪望远镜的放大倍率ν为25~30倍,因此,瞄准误差mν,一般为2.0″~2.4″。另外,瞄准误差与目标的大小、形状、颜色和大气的透明度等也有关。因此,在观测中应尽量消除视差,选择适宜的照准标志,熟练操作仪器,掌握瞄准方法,并仔细瞄准以减小误差。对于粗的目标宜用双丝照准,细的目标则用单丝照准。

(4)读数误差

对于分微尺读法,主要是估读最小分划的误差;对于对径符合读法,主要是对径符合的误差所带来的影响,所以在读数时宜特别注意。一般读数时应读到最小刻度的1/10。

3.外界条件的影响

对测量成果产生影响的外界条件很多,如天气的变化、植被的不同、地面土质松紧的差异、地形的起伏,以及周围建筑物的状况等,都会影响测角的精度。有风会使仪器不稳,地面土松软可使仪器下沉,强烈阳光照射会使水准管变形,视线靠近反光物体则有折光影响等。这些情况在测角时应尽量予以避免。

随便看

 

离鸟网收录3541549条中英文词条,其功能与新华字典、现代汉语词典、牛津高阶英汉词典等各类中英文词典类似,基本涵盖了全部常用中英文字词句的读音、释义及用法,是语言学习和写作的有利工具。

 

Copyright © 2004-2024 vtrois.com All Rights Reserved
更新时间:2026/4/8 12:06:24