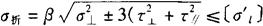
国际焊接学会(IIW)推荐的角焊缝静载强度计算公式为:

式中 σ折——角焊缝计算断面上的折合应力。
β——因母材屈服点σs而异的系数,
当σs=240MPa时,β=0.9;
σs=360MPa时,β=0.85。
其他σs值用线性内插法确定。
σ⊥——垂直作用于计算断面上的正应力。
τ⊥、τ∥——分别垂直和平行于焊缝长度作用于计算断面上的切应力。
〔σ′l〕——焊缝金属许用应力,按表13-9确定。
表13-9 按基本金属许用应力确定的焊缝许用应力

注:1.表中〔σ〕为基本金属的拉伸许用应力。
2.上表适用于低碳钢及50kg级以下的低合金结构钢。
用这个计算公式作角接头强度计算虽然复杂一些,但结果比较接近实际。