网站首页  词典首页


请输入您要查询的字词:

 

字词 设备管理中的常用公式
类别 中英文字词句释义及详细解析
释义

设备管理中的常用公式


1.设备能力系数

式中 T——代表所用设备加工零件的公差带;

σ——设备的标准偏差。

当Cm≥1时,表示设备的综合精度满足生产工艺要求。

当Cm≤1时,表示设备不能满足工艺要求,需进行调整和修理。

设备能力系数Cm是选择、评价设备的一项重要指标。

2.设备精度指标

式中 TP——设备精度实测值;

TS——设备精度允许值。

T≤0.5,为新设备验收条件之一。

T≤1,表示大修后设备验收条件。

T≤1~2,为设备可继续使用,但要调整。

T≤2~2.5,设备需要进行重点修理或大修。

T>3时,设备需要更新。

3.设备有效度系数

式中 Tw——设备有效工作时间;

TD——修理时间;

Tw+TD——设备全部工作时间。

n一般在0~1范围内变化,其值愈高,说明设备有效工作时间愈多,反之,设备修理时间多。

4.设备投资回收期

设备投资回收期短者为优选设备。

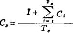
5.设备周期费用法

式中 Cy——设备年平均寿命周期费用;

I——设备购置费;

Ci——设备各年使用费;

Te——设备的经济寿命。

年平均寿命周期费用最小者为优选设备。

6.设备费用效率分析法

费用效率表示单位费用支出能够取得的效果。费用效率高者为优选设备。

随便看

 

离鸟网收录3541549条中英文词条,其功能与新华字典、现代汉语词典、牛津高阶英汉词典等各类中英文词典类似,基本涵盖了全部常用中英文字词句的读音、释义及用法,是语言学习和写作的有利工具。

 

Copyright © 2004-2024 vtrois.com All Rights Reserved
更新时间:2026/4/8 11:05:32