网站首页  词典首页


请输入您要查询的字词:

 

字词 试验方案设计
类别 中英文字词句释义及详细解析
释义

试验方案设计


田间试验方案设计应根据试验的要求确定。以下举几种常用的试验方案:

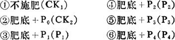
1.单因素试验方案 试验只研究一个因素的效应,一般把研究的因素分成若干水平,每个水平就是一个处理,再加上对照就可以了。例如,磷肥用量试验,其试验方案如下:

又如化肥品种比较试验,可采用下列方案:

肥底可以是有机肥,或单质化肥;处理①的试验结果,可表示地力的综合水平。也有的试验方案不设处理①,用处理②作为对照。在用量试验中,处理间的级差不能过小,否则试验结果差异不明显,甚至会被试验误差所掩蔽,不能说明问题。

2.复因素试验方案 复因素试验研究的因素较多,方案的设计比较复杂。

(1)完全方案 又称全面试验,是最简单的一种设计,设计的原理就是每个试验因素的每个水平都要相互碰到,所有因素处于完全平等的地位。例如研究氮、磷、钾肥肥效试验,包括N、P、K三个因素,每个因素又分为施与不施两个水平。所以处理数为:2×2×2=23=8,简称2×2×2设计其试验方案如下:

(2)不均衡方案 完全方案的特点是完全、均衡,能较好揭示事物内部的规律性。但试验处理过多,难以进行。为了缩减处理数,在完全方案的基础上,根据经验和专业知识,剔除一些次要的或意义不大的处理,可构成不均衡方案,又称不完全方案。如上述氮、磷、钾肥肥效试验,在富含钾素的土壤土,可缩减成以下方案:

又如氮、磷不同用量配比试验,假设N、P用量各三个水平,即N0、N1、N2,P0、P1、P2,其试验处理3×3=32=9。

以上处理数过多难于进行试验,可以根据具体情况去掉几个作用不大的处理。也可以改为单因素试验,如固定氮或磷的用量(作为肥底),进行“以氮定磷”或“以磷定氮”的试验。

有的认为采用正交设计,可以克服多因素试验,处理过多的问题。试验方案既能保持试验因素间搭配的均衡性,又能使处理数大大减少;既能获得较多的信息,又能给出试验误差的估计。但正交设计适宜在那些试验内容上,仍需进一步商讨。

随便看

 

离鸟网收录3541549条中英文词条,其功能与新华字典、现代汉语词典、牛津高阶英汉词典等各类中英文词典类似,基本涵盖了全部常用中英文字词句的读音、释义及用法,是语言学习和写作的有利工具。

 

Copyright © 2004-2024 vtrois.com All Rights Reserved
更新时间:2026/4/8 0:53:58