网站首页  词典首页


请输入您要查询的字词:

 

字词 误差的表示方法和分析数据的处理
类别 中英文字词句释义及详细解析
释义

误差的表示方法和分析数据的处理


(一)误差和偏差 误差是衡量分析方法准确度的尺度,它表明某一成分的测得值与该成分在样品中的真实值的符合程度。测得值与真实值之差为绝对误差,但在实用上多以相对误差来说明测得值的准确度:

由于真实值不易得知,故常用多次测定的平均值来代替,测得值与平均值之差称为绝对偏差,用百分率表示相对偏差:

精密度则表示n次测定结果与测定平均值的偏差,是由偶然误差造成的。准确度高,表示测定结果很好,而精密度高,是说明测定方法很稳定,重现性好。正如射击打靶一样,射击子弹偏离靶心很远,且不集中于一处,表示准确度和精密度都很差;射击子弹虽偏离靶心,但集中于某一很小范围,则表示准确度差而精密度高;射击子弹集中击中靶心附近,则表示准确度和精密度都很高。理想的测定是很高的准确度和精密度。

(二)平均值 分析结果的精密度决定于偶然误笠,偶然误差的出现是符合正态分布曲线规律的,所以应用多次测定结果的平均值来代表分析结果,以消除大部分偶然误差。

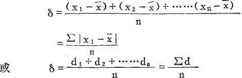
(三)离均差 精密度通常以离均差来表示,是偶然误差的简单表示方法。它是各次测定值与平均值之绝对差值的平均数。

设各次测定值分别为x1,x2,……xn,它们的算术平均值为,测定值与平均值之差为,共测定n次,则离均差为:

相对离均差为离均差在平均值中所占的百分数,即为:

对做两次重复测定结果,可较方便地求其相对相差,用γ表示,其定义为:

(四)标准差 标准差是表示偶然误差的一种较好的方法。它可以说明单次测定值围绕平均值的密集程度,也即分析结果的精密度大小。

单次测定的标准差为:

s值小,说明单次测定结果之间的偏差小,精密度高,平均值的代表性高。

单次测定标准差求出后,一般写在平均数之后:

平均值的标准差:一组多次平行测定结果用平均值表示时,一般都用平均值的标准差以表平均值的精密度大小。的大小与测定次数n有关:

平均值的标准差是重要的误差指标,它的表示方式是:

(五)变异系数 标准差占测定值的平均值的百分率为变异系数:

C.V.小时说明平均值的波动小,亦即精密度高,代表性好。

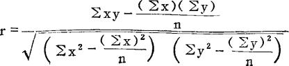
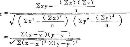
(六)相关系数及其显着性的检验 相关系数可用来检验两组变数之间的相关性是否密切相关。直线相关的相关系数通常用r表示,它的计算公式如下:

相关系数r的绝对值越大,则两变量之间的直线相关愈密切。相关系数可用t值检验其显着性:

算得的t值若小于理论t值,表明相关性不显着或无相关性;若大于理论t值则表明有相关,差异显着。

为了便利工作,已根据t分布表,把一系列不同自由度的相关系数r达到显着水准的界线,都计算出来列成r表。所以,求出相关系数后,在表上查,即可得知相关系数是否显着,不必再计算t值。

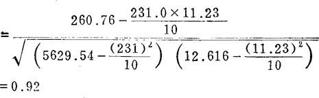
下面仍将上例求回归方程表中计算各项数值代入r公式:

再用公式:求相关系数的显着性检验:

以自由度n-2=10-2=8查t分布表得:t0.05=2.31,t0.01=3.36,现计算得t值为18.77>3.36。可以判定马铃薯块茎中淀粉含量与其比重之间有非常显着的正相关性。

又本例查r值表,当自由度=8时,r0.01=0.765,今计算得r值为0.92>0.765,也表明相关性非常显着。

随便看

 

离鸟网收录3541549条中英文词条,其功能与新华字典、现代汉语词典、牛津高阶英汉词典等各类中英文词典类似,基本涵盖了全部常用中英文字词句的读音、释义及用法,是语言学习和写作的有利工具。

 

Copyright © 2004-2024 vtrois.com All Rights Reserved
更新时间:2026/4/7 10:12:26