网站首页  词典首页


请输入您要查询的字词:

 

字词 误差的评定
类别 中英文字词句释义及详细解析
释义

误差的评定


若在同一条件下进行多次测量,其误差为

δ1,δ2,……,δn

因为单个误差可大可小,为表明该条件下精度,引进如下评定值:

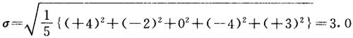
1.标准差

各误差平方之平均再开方(取正平方根),即标准差

如有一列误差+4,-2,0,-4,+3,则

标准差亦称均方根差、标准偏差。

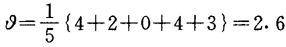
2.平均误差

各误差之绝对值之平均,即平均误差

如对上例

3.或然误差

将各误差取绝对值后,从小到大排起来,中间的误差ρ。

如对上例,将误差绝对值从小到大排为0,2,3,4.4,故ρ=3。

4.极限误差

各误差绝对值实际不超过的界限Δ。对正态分布,可取3σ或2σ为极限误差。

【参考文献】:

[1]王立吉,计量学基础,中国计量出版社,1988。

[2]BIPM、IEC、IFCC,IUPAC,IUPAP,OIML,Guide to the Expression of Uncertainty in Measurement, ISO,1993.

[3]刘智敏,不确定度原理,中国计量出版社,1993。

[4]刘智敏,误差分布论,原子能出版社,1988。

[5]刘智敏,误差与数据处理,原子能出版社,1983。

[6]Liu Zhimin(刘智敏),Measurement Uncertainty and Its Correlation Combination,Proceeding of ISEM, 1993.

[7]国家计量总局量值传递处编,计量技术考核纲要,计量出版社,1981。

[8]国家技术监督局审定,刘智敏等编审,全国计量检定人员考核统一试题集第六分册三,误差及数据处理,陕西科学技术出版社,1990。

随便看

 

离鸟网收录3541549条中英文词条,其功能与新华字典、现代汉语词典、牛津高阶英汉词典等各类中英文词典类似,基本涵盖了全部常用中英文字词句的读音、释义及用法,是语言学习和写作的有利工具。

 

Copyright © 2004-2024 vtrois.com All Rights Reserved
更新时间:2026/4/7 9:52:03