网站首页  词典首页


请输入您要查询的字词:

 

字词 赫姆霍兹共鸣器旁支
类别 中英文字词句释义及详细解析
释义

赫姆霍兹共鸣器旁支


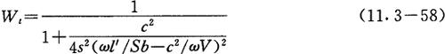
作为上节理论的应用,现在来讨论以赫姆霍兹共鸣器作为旁支时所起的效应,这是古典建筑、当代室内音质与工业噪声控制所经常运用的原理,如图11.3-7所示,我们忽略声能的粘滞吸收,就不会有管导入共鸣器处的颈部损耗,故有RAb=0。共鸣器吸收声频中的某些部分,其余部分完全返回管导。若进共鸣器的开口面积为S0=πa2,颈长为l,则旁支的声抗为:

式中l′=l+1.7a

代入(11.3-55)式,就得到功率透射比为:

时,ωt=0。而这里的ω0正是赫姆霍兹共鸣器的共振频率。在这频率,共鸣器的颈部出现很大的体积速度振幅,但是共鸣器腔透射的声能将全部返回主管,并以一定的位相反射至声源端。

这种声学滤波器类似于电子学中的跨接在传输线上串联的电容和电感所起的作用。如图(11.3-7)(b)所示。

图11.3-7 (a) 赫姆霍兹共鸣器旁支 (b) 赫姆霍兹共鸣器旁支的电学类比

功率透射比的计算值是频率的函数。以管导半径为3厘米,旁接共鸣器体积为1120厘米3,颈长为0.6厘米,开口半径为1.55厘米的情况画于图11.3-8中。当颈部的半径比较大时(正如这例子)功率透射比将与(11.3-58)式的计算值一致,图11.3-8中的曲线显着地表明,在共振频率两边一倍频程以内的范围,透射有明显的减少。

图11.3-8 赫姆霍兹共鸣器旁支引起的衰减

长而窄的结构,计算值与实验值不再一样,这时要求在(11.3-58)式加入粘滞损耗量的修正。

【参考文献】:

[1]IEC—327,Precision method for pressure calibration or one—inch standard condenser microphones by the reciprocity technique. 1971.

[2]1EC—486,Precision method for free—field calibration of one inch standard condenser microphones by reciprocity technique, 1974.

[3]IEC—150.Testing and calibration of ultrasonic therapeutic equipment, 1963.

[4]GB 3223-82,水声换能器的自由场互易校准

[5]GB 3785-83,声级计的电,声性能及测量方法

[6]GB 7341-87,听力计

[7]GB 7614-87,校准测听耳机用宽频带型仿真耳

[8]GB 7342-87,测听耳机校准用IEC临时参考耦合腔

[9]OIML R102,声校准器

[10]JJG 188-90,声级计

[11]JJG 698-90,积分声级计

[12]标准电容传声器有关国家标准及检定规程

[13]JJG 388-85,听力计

随便看

 

离鸟网收录3541549条中英文词条,其功能与新华字典、现代汉语词典、牛津高阶英汉词典等各类中英文词典类似,基本涵盖了全部常用中英文字词句的读音、释义及用法,是语言学习和写作的有利工具。

 

Copyright © 2004-2024 vtrois.com All Rights Reserved
更新时间:2026/4/8 21:29:21