网站首页  词典首页


请输入您要查询的字词:

 

字词 超声波及其特性
类别 中英文字词句释义及详细解析
释义

超声波及其特性


4.1.1.1 超声波的产生

声波与光波、电磁波一样,都是因物体在介质(如水、空气、固体等)中发生振动,介质各点之间存在弹性联系,引起相邻各点的振动从而形成的纵波.如表4-1所示.超声波是频率在2×104~108Hz的波.

表4-1 声波分类

超声波由压电晶片(如石英、钛酸钡、锆钛酸铅等)之逆压电效应产生.

如图4-1所示.当压电晶片受到某一规律的压缩和拉伸时(晶片厚薄亦产生规律变化),在晶片两面产生相同电压变化,称为正压电效应;反之,把某一规律变化的电压加在压电晶体片两面上,它就作相应机械振动,称逆压电效应.

图4-1 正压电效应

当压电晶片受到来自高频(>20kHz)发生器的高频电压作用而发生逆压电效应时,晶片在其厚度方向发生变薄及变厚的振动,晶片周围介质点亦相应振动,此振动在介质中传播,即形成超声波.

4.1.1.2 超声波的特性

超声波和声波一样,可以在气体、液体和固体介质中传播.在不同介质中,超声波传播速度(c)不同.例如:c空气=331m/s,c=1430m/s,c=5850m/s.波速c与波长λ、频率f的关系为

c=λf (4-1)

超声波除去具备一般声波的反射、折射作用之外,还具有透射作用、热作用、机械作用及空化作用.这里主要介绍超声波的机械作用及空化作用.

(1)机械作用 主要由辐射压强和超声压强引起.

①辐射压强.当超声波入射到两种介质的界面时,无论超声波是被反射或是被吸收,在界面处将产生一稳定的沿传播方向的静压强,称辐射压强.

辐射压强将引起两种后果.其一是引起简单的骚动效应,即当强超声束通过液体时,液体起沸,产生强烈的骚动;其二是引起溶剂与悬浮体之间的摩擦.由于辐射压强给予溶剂和悬浮体以不同的加速度,即溶剂分子速度远大于悬浮体速度,从而产生摩擦.

②超声压强.当超声在介质中传播时,波线上任何处交替出现正压和负压,从而以压缩波形式产生的压强,称为超声压强.

辐射压强和超声压强,造成超声波对其传播方向上障碍物的压力,因此,可以用这个压力的大小表示超声波的强度.传播的波动能量越强,则压力也越大.

振动能量的强弱,可用能量强度衡量,所谓能量强度是指通过垂直于波的传播方向的单位面积上的能量,以J(W/cm2)表示.

式中:ρ——弹性介质的密度(kg/m3);

c——弹性介质中的波速(m/s);

A——振动的振幅(mm);

ω——圆频率,ω=2πf(rad/s).

因为超声波频率(f)很高,所以其能量强度可达几十~几百W/cm2

(2)空化作用 当超声波经过液体介质传播时,将以很高的频率压迫液体质点振动,在液体介质中连续地形成压缩和稀疏区域,由此产生液压冲击及空化作用.这一过程时间极短,液体空腔闭合压力可达几个MPa,故具爆炸特性,并产生巨大的水压冲击.这一脉冲压力作用在邻近的零件表面上会使其破坏,引起固体物质分散、破碎等效应.

空化作用包含稳定空化和瞬间空化.

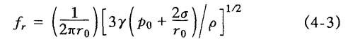
①稳定空化.原溶于液体内部的气体在超声机械振动作用下,向原存在于液体中的“亚显微气泡”中定向扩散.气泡不断增大,当大到与超声波长差不多时,形成共振腔,产生共振.共振振幅可大于入射波振幅几个数量级.系统共振频率为

式中:r0——气泡半径;

γ——比热比;

p0——液体静压强;

σ——表面张力;

ρ——液体密度.

上述过程称稳定空化.在液体内部,这种气泡大振幅振动,将产生两种后果.

其一是在液体中产生相对振荡运动,周围液体中形成冲流,局部产生高的速度梯度,足以令工件表面破坏.

其二是因剧烈振荡,气体在微小气泡中压缩,局部产生极高的温度和压强突变——电离,以致将具有高度化学活性的自由基群以高浓度向周围液体放出,这点与电离作用相似.已经证明:由于水的超声空化引起的自由基的释放率,可高达吸收剂量为100GY/min时产生的释放率(GY被定义为:1kg质量吸收1J的能量).

②瞬间空化(或崩溃空化).如图4-2.当声压峰值pm比静压强p0(一般接近0.1MPa)大时,在液内某一区域压强的瞬时值出现负值时刻,引起气体破碎性爆炸,发生空洞,此即称为瞬时空化.当压强瞬时值返为正值时,空洞崩溃,瞬时液体发生碰撞而急剧停止(伴声爆),产生正压强脉冲,数值由零点几兆帕到几百兆帕.

图4-2 空化说明

随便看

 

离鸟网收录3541549条中英文词条,其功能与新华字典、现代汉语词典、牛津高阶英汉词典等各类中英文词典类似,基本涵盖了全部常用中英文字词句的读音、释义及用法,是语言学习和写作的有利工具。

 

Copyright © 2004-2024 vtrois.com All Rights Reserved
更新时间:2026/4/7 20:29:44