网站首页  词典首页


请输入您要查询的字词:

 

字词 路基放样
类别 中英文字词句释义及详细解析
释义

路基放样


1.路基边桩的测设

路基边桩测设就是在地面上将每一个横断面的路基边坡线与地面的交点用木桩标定出来。边桩的位置由两侧边桩至中桩的距离来确定。边桩测设的方法很多,常用的有图解法和解析法。

(1)图解法

在地势比较平坦的地段,如果横断面测绘精度较高,可以在路基横断面设计图上直接量取中桩到边桩的水平距离,然后到实地在横断面方向用皮尺量距进行边桩放样。

(2)解析法

1)平坦地段路基边桩的测设。填方路基称为路堤,挖方路基称为路堑,分别如图11-33(a)、(b)所示。

图11-33路堤、路堑

路堤边桩至中桩的距离为:

D=B/2+mh

路堑边桩至中桩的距离为:

D=B/2+S+mh

式中 B——路基设计宽度;

S——路堑边沟顶宽;

m——路基边坡坡度的倒数;

h——填土高度或挖土深度。

以上是横断面位于直线段时求算D值的方法。若横断面位于曲线上有加宽时,在按上面公式求出D值后,在曲线内侧的D值中还应加上加宽值。

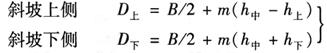
2)倾斜地段路基边桩的测设。在倾斜地段,边桩至中桩的距离随着地面坡度的变化而变化。

如图11-34所示,路堤边桩至中桩的距离为

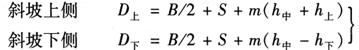
如图11-35所示,路堑边桩至中桩的距离为

式中,B,S,m,h(中桩处的填挖高度)为已知;h,h下为斜坡上、下侧边桩与中桩的高差,在边桩未定出之前为未知数。

图11-34 斜坡地段路堤边桩测设

图11-35 斜坡地段路堑边桩测设

由于h,h下未知,不能计算出边桩至中桩的距离值,因此,在实际工作中采用逐点趋近法测设边桩。

逐点趋近法测设边桩位置的步骤是:先根据地面实际情况并参考路基横断面图,估计边桩的位置D′,然后测出该估计位置与中桩的高差h,按此高差h可以计算出与其相对应的边桩位置D。若计算值D与估计值D′相符,即得边桩位置。若D>D′,说明估计位置需要向外移动,再次进行试测,直至△D=|D-D′|<0.1m时,可认为该估计位置即为边桩的位置。逐点趋近法测设边桩时,需要在现场边测边算,有经验后试测一两次即可确定边桩位置。

逐点趋近法测设边桩时,若使用全站仪,利用其对边测量功能,可同时获得估计位置与中桩的高差和水平距离,较之使用尺子量距、水准仪测高差的测设速度快,并且可以任意设站,一测站测设多个边桩,工作效率较高。

2.路基边坡的测设

边桩测设后,为保证路基边坡施工按设计坡率进行,还应将设计边坡在实地上标定出来。

(1)挂线法

如图11-36(a)所示,O为中桩,A,B为边桩,CD为路基宽度。测设时,在C,D两点竖立标杆,在其上等于中桩填土高度处做C′,D′标记,用绳索连接A,C′,D′,B,即得出设计边坡线。当挂线标杆高度不够时,可采用分层挂线法施工,如图11-36(b)所示。此法适用于放样路堤边坡。

图11-36 挂线法测设边桩

(2)边坡样板法

边坡样板按设计坡度制作,可分为活动式和固定式两种。固定式样板常用于路堑边坡的放样,设置在路基边桩外侧的地面上,如图11-37(a)所示。活动式样板也称活动边坡尺,它既可用于路堤,又可用于路堑的边坡放样,图11-37(b)所示的是利用活动边坡尺放样路堤的情形。

图11-37 边坡样板法测设边坡

(3)插杆法

机械化施工时,宜在边桩外插上标杆以表明坡脚位置,每填筑2~3m后,用平地机或人工修整边坡,使其达到设计坡度。

3.路基高程的测设

根据道路附近的水准点,在已恢复的中线桩上,用水准测量的方法求出中桩的高程,在中桩和路肩边上竖立标杆,杆上画出标记并注明填挖尺寸,在填挖接近路基设计高时,再用水准仪精确标出最后应达到的标高。

机械化施工时,可利用激光扫平仪来指示填挖高度。

4.路基竣工测量

路基土石方工程完成后应进行竣工测量。竣工测量的主要任务是最后确定道路中线的位置,同时检查路基施工是否符合设计要求。其主要内容有:中线测设、高程测量和横断面测量。

(1)中线测设

首先根据护桩恢复中线控制桩,并进行固桩,然后进行中线贯通测量。在有桥涵、隧道的地段,应从桥隧的中线向两端贯通。贯通测量后的中线位置,应符合路基宽度和建筑限界的要求。中线里程应全线贯通,消灭断链。直线段每50m、曲线段每20m测设一桩,还要在平交道中心、变坡点、桥涵中心等处以及铁路的道岔中心测设加桩。

(2)高程测量

全线水准点高程应该贯通,消灭断高。中桩高程测量按复测方法进行。路基面实测高程与设计值相差应不大于5cm,超过时应对路基面进行修整,使之符合要求。

(3)横断面测量

主要检查路基宽度、边坡、侧沟、路基加固和防护工程等是否符合设计要求。横向尺寸误差均不应超过5em。

随便看

 

离鸟网收录3541549条中英文词条,其功能与新华字典、现代汉语词典、牛津高阶英汉词典等各类中英文词典类似,基本涵盖了全部常用中英文字词句的读音、释义及用法,是语言学习和写作的有利工具。

 

Copyright © 2004-2024 vtrois.com All Rights Reserved
更新时间:2026/5/28 21:50:30