网站首页  词典首页


请输入您要查询的字词:

 

字词 路面放样
类别 中英文字词句释义及详细解析
释义

路面放样


1.路面放样

在铺设公路路面时,应先把路槽放样出来,具体放样方法如下。

从最近的水准点出发,用水准仪测出各桩的路基设计标高,然后在路基的中线上按施工要求每隔一定的间距设立高程桩,用放样已知高程点的方法,使各桩桩顶高程等于将来要铺设的路面标高。如图11-38所示。

图11-38 路槽放样示意图

用皮尺由高程桩(M桩)沿横断面方向左、右各量路槽宽度的一半,钉出路槽边桩A、B,使其桩顶标高等于铺设路面的设计标高。在A、B、M桩旁边挖一小坑,在坑中钉一木桩,使桩顶的标高符合路槽底的设计标高,即可开挖路槽。

2.路拱放样

所谓路拱就是在保证行车平稳的情况下,为有利于路面排水,使路中间按一定的曲线形式(抛物线、圆曲线)进行加高,并向两侧倾斜而形成的拱。

(1)抛物线形式的路拱放样

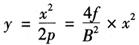
如图11-39所示。抛物线的方程为:

x.=2py

图11-39 抛物线路拱

当x=0.5B时,y=f(f为路拱高),将x=0.5B代入x2=2py得

该路拱的抛物线方程为

f可按路拱坡度i0确定:f=Bi0/2(i0为横坡坡度)。

放样方法如下。

从中桩沿横断面方向,左、右分别量取x1、x2、x3等分别打桩,使桩顶高为y1、y2、y3等。

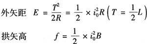
(2)圆弧路拱的放样

如图11-40所示。圆弧路拱是在两个斜面中间用圆弧连接的路拱。

图11-40 圆弧路拱

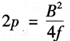
从图11-40中可以看出:圆曲线的曲线长L=2i0R。

通常情况下L=2.0m,则圆曲线的半径R=1/i0

式中 R——圆弧半径;

f——拱矢高;

B——路面宽度;

E——外矢距;

i0——路面的横坡度。

这样,我们就可以将路拱做成模板,用模板进行放样。

随便看

 

离鸟网收录3541549条中英文词条,其功能与新华字典、现代汉语词典、牛津高阶英汉词典等各类中英文词典类似,基本涵盖了全部常用中英文字词句的读音、释义及用法,是语言学习和写作的有利工具。

 

Copyright © 2004-2024 vtrois.com All Rights Reserved
更新时间:2026/4/9 4:18:14