网站首页  词典首页


请输入您要查询的字词:

 

字词 边际社会转换率
类别 中英文字词句释义及详细解析
释义

边际社会转换率


在一定技术和资源条件下,社会所增加的一种产品总量同因此而必须减少的另一种产品总量的比率。

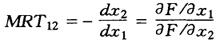
是一条特定社会转换曲线斜率的负值。设总量生产函数为:

F(x1,x2,x)=0

式中x1和x2为两种产品的生产总量,x为一种资源投入量。对特定的资源总量,边际社会转换率为:

边际社会转换率实际上反映了资源稀缺情况下,用另一种商品衡量的生产某种产品的机会成本。

〖参〗社会转换曲线

随便看

 

离鸟网收录3541549条中英文词条,其功能与新华字典、现代汉语词典、牛津高阶英汉词典等各类中英文词典类似,基本涵盖了全部常用中英文字词句的读音、释义及用法,是语言学习和写作的有利工具。

 

Copyright © 2004-2024 vtrois.com All Rights Reserved
更新时间:2026/4/8 5:47:20