网站首页  词典首页


请输入您要查询的字词:

 

字词 过氧化值的测定(GB/T 5009.37—1996)
类别 中英文字词句释义及详细解析
释义

过氧化值的测定(GB/T 5009.37—1996)


1.原理

油脂氧化过程中产生过氧化物,与碘化钾作用,生成游离碘,以硫代硫酸钠溶液滴定,计算含量。

2.试剂

(1)饱和碘化钾溶液:称取14g碘化钾,加10mL水溶解,必要时微热使其溶解,冷却后贮于棕色瓶中。

(2)三氯甲烷-冰乙酸混合液:量取40mL三氯甲烷,加60mL冰乙酸,混匀。

(3)硫代硫酸钠标准溶液(CNa2s2o3=0.002mol/L)。

(4)淀粉指示剂(10g/L):称取可溶性淀粉0.5g,加少许水,调成糊状,倒入50mL沸水中调匀,煮沸。临用时现配。

3.分析步骤

称取2.00~3.00g混匀(必要时过滤)的样品置于250mL碘瓶中,加30mL三氯甲烷-冰乙酸混合液,使样品完全溶解。加入1.00mL饱和碘化钾溶液,紧密塞好瓶盖,并轻轻振摇0.5min,然后在暗处放置3min。取出加100mL水,摇匀,立即用硫代硫酸钠标准溶液(0.002mol/L)滴定,至淡黄色时,加1mL淀粉指示剂,继续滴定至蓝色消失为终点,取相同量三氯甲烷-冰乙酸溶液、碘化钾溶液、水,按同一方法,做试剂空白试验。

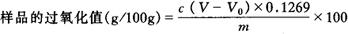
4.计算

样品的过氧化值(meq/kg)=样品的过氧化值(g/100)×78.8

式中 c——硫代硫酸钠标准溶液的浓度(mol/L);

V——样品消耗硫代硫酸钠标准溶液体积(mL);

V0——试剂空白消耗硫代硫酸钠标准溶液体积(mL);

m——样品质量(g);

0.1269——与1.00mL硫代硫酸钠标准溶液(c=1.000mol/L)相当的碘的质量(g);78.8——换算因子。

结果表述:报告算术平均值的二位有效数。

允许差:相对相差≤10%。

5.注意事项

影响过氧化值测定结果的因素很多,如:反应时间的长短、温度的高低、摇动的剧烈程度、溶液的pH、加水量等。其中以反应温度、加入碘化钾后摇动时间的长短与剧烈程度影响最大。因此,测定时处理和对照的条件应尽量一致。

随便看

 

离鸟网收录3541549条中英文词条,其功能与新华字典、现代汉语词典、牛津高阶英汉词典等各类中英文词典类似,基本涵盖了全部常用中英文字词句的读音、释义及用法,是语言学习和写作的有利工具。

 

Copyright © 2004-2024 vtrois.com All Rights Reserved
更新时间:2026/4/7 2:19:34