网站首页  词典首页


请输入您要查询的字词:

 

字词 运用“投入产出法”编制绒线生产计划
类别 中英文字词句释义及详细解析
释义

运用“投入产出法”编制绒线生产计划


精纺绒线的生产特点是品种花色多、批量大、工序多、周期长。从投入原毛开始到最后的成品绒线出来,一般要经过25道工序,生产周期一般为2.5个月,生产过程中各工序之间物料消耗以及各项经济技术指标有着密切联系。因此用传统的管理办法来编制计划,生产目标不明确,对生产中的各种条件缺少全面综合平衡。为了改善计划管理,我们试用“投入产出法”来编制生产计划,期望在企业现有的生产技术水平上,编制出比较合理的生产方案。

在企业生产过程中,物料在各加工工序之间流转,对它们的“流向”进行统计,归纳整理,就可制定出企业的投入产出流量表。表1是我厂1992年的物料投入产出流量表。

表1由双线分割的四大部分组成,左上部分是本企业生产中对自产物料的消耗情况,如第1行中的数字958.12吨是在净毛工序中对选后毛的消耗数量;右上部分是本企业自产物料的总体情况,包括需求、产出、库存及库存变化;左下部分是生产中对外购物料的消耗情况;右下部分是外购物料的总消耗、外购、库存情况。

我厂外购原料,有进口羊毛和国产羊毛。这两种原料在产品消耗上有所不同,为了方便起见,需要利用折算系数把二者统一,表1中所列是折算成进口羊毛后的数据。

表1 1982年投入产出流量表

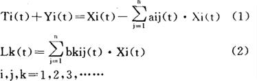
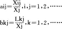
根据表1数据,可以计算直接消耗系数,直接消耗系数是指第j种产品对第i种物料的单位消耗量。我们分别以aij、bkj表示对自产和外购物料的直接消耗系数。其计算公式分别为:

如在表1中,混纺坯线在生产过程中消耗纯毛条和腈纶正规条分别为471.68吨和441.86吨,混纺坯线的产量为835.93吨。

即:x36=471.68吨,x46=441.86吨,X6=835.93吨

同理可得其它的aij、bki有了直接消耗系数aij和bki,就可把表1用下列数学公式来表示:

式中:

t表示时期:

Ti(t)——为第i种产品的库存增量;

Yi(t)——为第i种产品的销售量或消耗量;

Xi(t),Lk(t)——分别为产出量,外购物料总消耗量。

在生产过程中,在制品的产出和投入总存在着一定的差异,这部分差异与期初库存和期末库存的差异是一致的。在制品的期末库存就等于库存增量Ti+期初库存Gi。Ti这个因子在制定生产计划时是非常重要的因素,就在制品库存的意义来说,它是投入和产出或采购之间的缓冲,是生产均衡发展的先决条件。另外,在制品库存占厂全部流动资金的55%左右,对在制品库存的管理控制是和企业生产产品,实现利润同样重要的事情。因此,把它与销售量Yi同时列为生产的最终需求。

为了求得生产的最终需求,可把上述数学公式改写成如下形式:

为了便于运算,我们把数学方程式变为矩阵方程:

T(t)+Y(t)=[E-A(t)]·X(t) (3)

L(t)=B(t)·X(t) (4)

式中:t表示时期,E为单位矩阵,A、B分别为直接消耗系数[aij],[bkj]的系数矩阵。X(t),T(t),Y(t)分别为产出量、库存增量和销售量的向量。

在生产过程中,不仅需要及时掌握各生产环节物料的直接消耗状况,而且还需要掌握各生产环节中物料消耗的依存关系,即掌握完全消耗系数。

完全消耗系数的方程式,可由直接消耗系数方程组推导出来:

利用(3)式,有

[E-A(t)-1·[T(t)+Y(t)]=[E-A(t)]-1·[E-A(t)]·X(t)

则[E-A(t)-1]·[T(t)+Y(t)=X(t)] (5)

(5)式即为求总产出的计算公式,式中的[E-A(t)-1]称为列昂节夫逆阵。

利用(3)、(4)、(5)式,可以推出自产物料和外购物料的完全消耗系数矩阵是

P(t)=[E-A(t)-1-E] (6)

和(T)=B(t)·[E-A(t)-1] (7)

求解逆矩阵[E-A(t)]-1如表2所示:

表2

把得到的[E-A(t)-1]代入(6)式和(7)式,即可得到P(t)和Q(t)的数据。下面是我们利用投入产出模型来编制1983年生产计划的过程。

首先,国家下达的绒线产量计划为1500吨,根据上年的各类成品库存情况,1983年的目标利润以及市场销售情况,确定纯毛、混纺、纯腈的商品生产量分别为:209吨、1100吨、200吨,其次,为了保证国家计划顺利完成,需要确定企业内部的各种在制品库存量,可以采用数学方法,求出各在制品的最佳库存水平,以保证企业生产均衡发展,同时防止流动资金的积压和浪费。例如:1992年净毛库存为106.9吨,根据库存理论求得1993年的净毛平均库存保持在140吨为好。所以要增加库存,使1993年的净毛库存上升到140吨,这样,我们就确定了1983年最终需求中的净毛库存增量为+33吨。同样,我们对其它各在制品的库存增量T1也进行这样的确定,计算结果如表3所示。

表3 单位:吨

然后把表3中的数据代入如下矩阵方程:

具体运算如上:

最后,根据我厂的设备能力、在制品的供应能力、技术条件、分配原料数及外加工的条件和能力等因素再进行平衡,从而最后确定1993年生产计划如表4所示。

表4 1993年生产计划 单位:吨

随便看

 

离鸟网收录3541549条中英文词条,其功能与新华字典、现代汉语词典、牛津高阶英汉词典等各类中英文词典类似,基本涵盖了全部常用中英文字词句的读音、释义及用法,是语言学习和写作的有利工具。

 

Copyright © 2004-2024 vtrois.com All Rights Reserved
更新时间:2026/4/7 6:48:25