网站首页  词典首页


请输入您要查询的字词:

 

字词 运用网络技术进行成本控制
类别 中英文字词句释义及详细解析
释义

运用网络技术进行成本控制


一、网络图

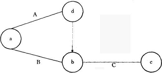
网络图是指把计划的各个部分形象地组成一个整体,直观地显示出各个环节之间错综复杂的依存关系,并给予量的描述。它是计划及其组成部分内在逻辑关系的综合反映。网络图一般有两种形式,一种是节点式网络图,另一种是箭线式网络图。实际工作中通常采用箭线式网络图,这种网络图用节点表示某项活动的开始或结束,用箭线表示某项活动,圆圈里的编号表示活动的名称。箭的网络图(箭线式)如图表6-14所示。

图表6-14

上图中节点有:a、b、c、d

A(b、a)、B(b、c)、C(a、d)、D(d、c)、E(d、b)

(一)网络图的组成部分

网络图通常由活动(工序)、事项和线路三部分组成。

1.活动

活动,亦称工序,是指一项需要消耗人力,物质和时间的具体活动过程。网络图中活动用简线“→”表示,箭线正方标明活动的名称,下方标明完成该项活动所需的作业时间,如图表6-15所示。

图表6-15

活动通常都要消耗一定的资源并占用一定的时间。有些活动只占用时间不消耗资源,如混凝土的干燥过程。还有一种活动既不消耗资源也不占用时间,这种活动称为虚活动,用虚箭线“…→”表示。虚活动在实际生产过程中是不存在的,它只表明活动与活动之间的逻辑关系,用它可以消除活动也活动之间模棱两可,含混不清的现象。

2.事项

事项表示禁项活动的开始或结束。事项不消耗人力、物质和时间,它仅表示活动的开始或结,一般用“〇”表示,“〇是两条或两条以上箭线的交接点。故为称其为节点。在一个网络图中,左边第一事项称始点事项,右边最后一个事项称终点事项,介于始点事项和终点事项之间的事项称为中间事项。所有的中间事项代表的意义都是双重的,它既是前一活动的结束,又表示后一活动的开始。事项之间的关系如图表6-16所示。

图表6-16

事项之间关系图

3.线路

线路是指从网络始点事项开始,顺着箭线方向,到网络终点事项为止,中间经过的一系列点和箭线所组成的通道。网络图中可能有很多条线路,其中作业时间最长的线路被称为关键线路。网络图上关键线路一般用粗箭头或红箭线表示,如图表6-17所示。

图表6-17

关键线路图

图表6-17中G/16(a、d)、A/10(a、b)和C/1()(e、d)均为关键线路。

(二)网络图编制应遵循的原则

1.编制网络图不应出现循环回路,即网络图中箭线不能逆向前进,只能从左至右。箭线是有方向性的,逆向前进时会造成逻辑错误。

2.箭线的首尾都必须有结点。箭线必须从一个事项开始,到另一个事项结,其首尾都应该有事项,不允许从一条箭线的中间引出另一条箭线来。

3.网络图中不允许出现编号相同的箭线,即两节点间只能有一次活动或一条箭线。如果两节点间有几项活动同时平行进行,则除一项工序可以直接连接外,其余的工序必须增加节点,引用虚线予以分开。

4.网络图只允许有一个始点事项和终点事项。不允许没有紧前工序或紧后工序的中间结点。在实际工作中如果发生这种情况,应将没有紧前工序的事项同网络始点事项相连,将没有紧后工序的事项同网络终点事项相连。

5.节点编号不能重复使用,箭尾节点的编号一般应小于箭头节点的编号。

6.在表示多种活动之间的关系时,需引进虚线,如图表6-18所示。

图表6-18

虚线路图

图表6-18中节点d到节点b为虚活动线路。

二、网络图编制的程序和网络时间计算

(一)网络图编制的程序

1.划分工序,确定工序之间的逻辑关系;

2.根据工序之间的逻辑关系,排列工序的先后次序,画出草图并标明日期配置;

3.修改草图,调整有关事项完成正式网络图。

(二)网络时间计算

网络时间的计算包括作业时间计算、事项时间的计算;工序时间的计算和时差的计算这四部分

1.作业时间的计算

作业时间是完成一道工序所需延续的时间,通常用T(i、j)表示。确定作业时间的方法有三种。

(1)历史资料法。这种方法适用于重复发生的工序或曾经发生过的工序,通过对历史资料求平均值来估计作业时间。如果历史资料提供的时间为:t1,t2,t3,tn,则作业时间为:T(i,j)

(2)单一时间估计法。这种方法主要是根据完成工序的最大可能时间来估计作业时间,适用于重复性生产而不可知因素较少的工序。

(3)概率分析法。这种方法以通过估计乐观、可能和悲观两个时间值,用概率分布的理论推算出平均值,作为作业时间。

2.事项时间的计算

事项时间的计算其主要应确定事项时间参数。通常事项时间参数有两个,即最早开始时间和最迟结束时间。下面分述这两个参数。

(1)事项的最早开始时间(TE)。事项的最早开始时间是指从该事项开始的各项工序最早可能开始工作的时间,在此之前不能开工。计算事项的最早开始时间应从网络始点事项开始,沿着箭线从左至右,逐个计算,直至网络终点事项。网络始点事项最早开始时间一般为零,网络终点事项无后续工序,其开始时间也就是其结束时间,箭头事项的最早开始时间等于箭尾事项的最早开始时间加上本活动作业时间。如果到达箭头事项的箭头有两条以上,选其中箭尾事项最早开始时间与作业时间之和的最大值作为箭头事项的最早开始时间。其计算公式如下:

TE(1)=0

TE(j)=max×{TE(i)+T(i,j)}(j=2,3……n)

(2)事项最迟结束时间(TLi)。事项最迟结束时间是指到该事项为止的各坝活动最迟必须完工的时刻,在此时刻不完成,就会影响后续活动的按时开始。事项最迟结束时间的计算应从网络终点事项开始,逆箭线方向从右至左逐个计算,直至网络始点事项。终点事项的最迟结束时间一般是它的最早开始时间。箭尾事项的最迟结束时间等于箭头事项的最迟结束时间减去该活动的作业时间。如果退回到该事项的箭线有两条以上,则选其中事项最迟结束时间与箭线时间差的最小值。其计算公式如下:

TL(n)=TE(n)TL(Ⅰ)=min{TL(j)-T(i,)}(i=n-1,n-2……,1)

3.工序时间的计算

工序时间的计算包括工序最早开始时间(TES(i,j)工序最早结束时间TEF(i,j),工序的最迟开始时间TLS(i,j)和工序最迟结束时间TLF(i,j)。

(1)工序的最早开始时间。工序的最早开始时间是指工序可能开始的最早时间。计算工序的最早开始时间应从网络图始点事项开始,顺箭线方向逐个计算,直至终点事项。其计算方法有两种:

第一种方法是工序的最早开始时间就是其箭尾事项的最早开始时间,即:TES(i,j)=TE(i)。

第二种方法是工序的最早开始时间等于其紧前工序的最早开始时间加上作业时间。如果紧前工序有若干个时,则选择其中和数最大者。

即:TES(i,j)=max×{TES(h,i+T(h,j)}。

(2)工序的最早结束时间。工序的最早结时间是指该工序的最早开始时间加上该工序的作业时间。

即:TEF(i,j)=TES(i,j)+T(i,j)

(3)工序的最迟开始时间。工序的最迟开始时间是指本工序最迟必须开始的时间。计算工序最迟开始时间应从网络图终点事项开始,逆箭线逐个计算,直至始点事项。其计算方法有两种。

第一种,工序的最迟开始时间就是其箭头事项面的最迟结束时间减去该工序的作业时间。

即:TLS(i,j)=TL(j)-T(i,j)

第二种,该工序紧后工序的最迟开始时间减去该工序的作业时间。若紧后工序有多个,则选其中差数最小者。

即:TLS(i,j)=min{TLS(j,k)-T(i,j)}。

(4)工序的最迟结束时间。工序的最迟结束时间是指该工序最迟开始时间加上该工序作业时间之和。

即:TLF(i,f)=TLS(i,j)+T(i,j)

4.时差的计算

时差是指在不影响整个任务完成的条件下,工作中可以灵活使用的时间,又称机动时间,富裕时间或缓冲时间。它包括工序总时差TF(i,j)、工序单时差FF(i,j)和事项时差S(i)。

(1)工序总时差。工序总时差是指在不影响整个生产周期的前提下,各工序的最早时间与最迟时间之间可以灵活机动的时间。其计算公式如下:

TF(i,j)=TLS(i,j)-TES(i,j)

工序总时差可以储存在作业线路中,并可将本工序的部分或全部机动时间转给其他工序利用。

(2)工序单时差。工序单时差是指在不影响紧后工序最早开始时间的前提下,工序完工期具有的机动时间。其计算公式如下:

FF(i,j)=TES(j,k)-TEF(i,j)

工序单时差只能由本工序利用,不能转给其他工序。

(3)事项时差。事项时差是指在不影响整个工程完工的前提下,事项最迟结束时间与最早开始时间之间的机动时间。其计算公式如下:

S(i)-TL(i)-TE(i)

确定网络图中的关键线路通常采用计算时差的办法。即可以先计算事项时差,然后将事项时差为零的节点连接起来即得关键线路;又可以计算工序总时差,找出总时差为零的工序,此工序即为关键工序,将关键工序连接起来,就是关键线路。关键线路的持续时间就是工程的总工期。

关键线路找到后,还需考虑到资源的利用和费用情况,不断地调整和改善网络计划,寻找最优方案,以图缩短工期,减少费用开支、充分利用资源,这就是关键线路的优化过程。

网络技术的优化主要表现在以下两个方面,一方面是资源优化、即以整个工程做统筹安排,以保证资源的合理、充分利用;另一方面是成本优化,即以最少的成本费用,获得最短的工期,以达到提高经济效益的目的。

三、成本优化的方法

(一)成本和生产周期的关系

产品成本是由直接费用和间接费用组成的。通常,缩短生产周期或增加产量,都会引起直接费用的增加和间接费用的减少;反之,延长生产周期或减少产量,就会引起直接费用的减少和间接费用的增加。成本优化,就是要使成本支出最少,而生产周期最短。

1.直接费用与生产周期之间的关系

直接费用一般包括直接材料费用,直接人工费用和直接从事生产职工的福利费等。直接费用与工序的延续时间(或产量)有关。生产周期越短,费用增加的帐度就越大。这是由于每道工序的直接费用,是随着时间的缩短而增加的。直接费用与工序时间的关系如图表6-19所示。

图表6一19

直接费用与工序时间关系图

确定每道工序的直接费用变动率,首先要确定正常费用和极限费用。当费用增长到一定程度,如图表6-19中的“X”点,工序时间再无法缩短时,这个工序时间(即Tx)就是极限时间;对应于极限时间的费用(即fx)就是极限费用。当工序时间延长到一定程度,如图表6-19中的“丫”点,直接费用不能再减少时,这个费用就是正常费用(即fy);对应于正常费用的工序时间即(ty),就是正常时间。将图表8-8中的“X”与“Y”两点连成一条直线,则直接费用和生产周期之间就成为线性函数关系。其计算公式如下:

其中:R表示直接费用变动率(即缩短或延长每一单位工序时间需增加或减少的直接费用);

fx表示极限费用;

tx表示极限时间;

fy表示正常费用;

ty表示正常时间;

f表示工序的直接费用;

t表示该工序的时间(或工期)。

例如:某一序的极限时间为10天,极限费用为1000元,正常时间为15天,正常费用为600元,其工序直接费用变动率为:

R值越大,表明缩短工期而增加的直接费用就越多。因此,在进行成本优化过程中,应重点放在缩短关键线路上的R值最小的工序作业时间。

2.间接费用与生产周期之间的关系

间接费用通常是指一些不能直接计入产品成本,而需要按一定比例在产品间进行分配的费用。它包括管理人员的工资、福利费,办公费等。它和工序本身没有直接关系,而是根据有关的统计资料、费用定额和工作时间,由产品成本计划确定的。产品生产周期越长,间接费用发生额就越大。

间接费用与生产周期的关系可用下列公式表示:

其中:f表示某工序应分推的间接费用;

t表示该工序的作业时间;

F表示间接费和总额;

f表示产品的生产周期。

(二)成本优化的具体实施步骤方法

1.成本优化的基本步骤

开展成本优化的基础是具有详实的原始资料和网络。通过网络图和有关资料进行具体计算生产周期最短、成本最低的方案,从中选择确定,下面介绍成本优化的具体步骤。

(1)计算正常时间下的正常费用,以确定关键线路。

(2)根据网络图来计算极限时间的极限费用。

(3)计算各种备选方案的直接成本和时间。

计算各种备选方案的直接成本和时间就是以正常时间的正常费用为基础,接照直接费用变动率由小到大的顺序,逐次压缩关键工序的延续时间(以不超过极限时间为限),使压缩生产周期以后,直接费用的增加额为最小;或是以极限时间的极限费用为基础,按直接费用变动率由大到小的顺序,逐次延长非关键工序的延续时间(以不超过正常时间为限),并使直接费用的降低额为最大。其计算方法有两种,一是时压缩法,二是延长法,两种方法的计算结果相同。

(4)计算间接费用。

(5)计算各种备选方案的总费用额,从中选出生产周期最短,总费用最低的方法。

2.成本优化实例

某公司一项任务的网络图及有关资料如图表6-20和6-21所示,这项任务正常的直接费用额为720元。

图表6-20

网络图

图表6-21

资料表

(一)根据图表6-20和图表6-21计算正常时间下在的正常费用其结果,如图表6-22所示。

图表6-22

在正常情况下,该项任务的生产周期为72天,其直接费用总额为500元(100+120+80+200),其关键线路为①→②→③→④→⑤→⑥。

(二)根据网络图,计算极限时间的极限费用,其结果如图表6-23所示。

从图表6-23可见,该项任务在时间要求较短的情况下,可最短将生产周期缩短到48天,其直接费用总额为728元(120+144+144+320),其关键线中路仍为①→②→③→④→⑤→⑥。

图表6-23

(三)计算种种备选方案的直接成本和时间,本例采用压缩法计算,共具体计算过程如下:

计算第一备选方案的成本和时间

第一备选方案是:将工序甲缩短为12天。缩短后的生产周期为68天,其关键线路为①→②→③→④→⑤→⑥,增加直接费用4×5=20元,全部费用为520元,调整后的网络图如图表6-24所示。

图表6-24

第一方案网络图

计算第二备选方案的成本和时间

第二备选方案是:将工序乙缩短为12天。缩短后的生产周期为64天,其关键线路为①→②→③→④→⑤→⑥,增加直接费用8×5=40元,全部直接费用为560元。调整后的网络图如图表6-25所示。

图表6-25

第二方案网络图

计算第三备选方案的成本和时间

第三备选方案是:将工序丙缩短为8天。缩短后的生产周期为64天,共关键线路为①→②→③→④→⑤→⑥,增加直接费用4×6=24元,全部直接费用为544元。调整后的网络图如图表6-26所示。

图表6-26

第三方案网络图

计算第四备送方案的成本和时间

第四备选方案是:将工序丁缩短为8天,缩短后的生产周期为56天,共关键线路仍为①→②→③→④→⑤→⑥,增加直接费用8×8=64元,全部直接费用为608元,调整后的网络图表6-27所示。

图表6-27

第四方案网络图

计算第五备选方案的成本和时间

第五备选方案是:将工序戊缩短为28天。缩短后的生产周期为52天,关键线路为①→②→③→④→⑤→⑥,增加直接费用12×10=120元,全部直接费用680元。调整后的网络图如图表6-28的示。

图表6-28

第五方案网络图

计算第六备选方案的成本和时间

第六备选方案即为极限时间方案,它是将工序已缩短为20天。缩短后的生产周期为48天,关键线路为①→②→③→④→⑤→⑥,增加直接费用8×15=120天,全部直接费用728元。调整后的网络图如图表6-29所示。

图表6-29

第六方案网络图

(四)计算间接费用。

由于该任务在正常时间方案的间接费用为720元,则平均每日分摊间接费用计算如下:

(五)计算比较各个备选方案的总费用,从中选出最优方案。

前述计算的各个备选方案的直接费用和间接费用,将方案各自的直接费用和间接费用加总,即可计算出各个方案的总费用,其具体计算结果如图表6-30所示。

图表6-30

备选方案总费用计算表

从图表6-30可见,第四个备选方案为最优方案。它的生产周期为56天,总费用为1168元,经济效益最好。

随便看

 

离鸟网收录3541549条中英文词条,其功能与新华字典、现代汉语词典、牛津高阶英汉词典等各类中英文词典类似,基本涵盖了全部常用中英文字词句的读音、释义及用法,是语言学习和写作的有利工具。

 

Copyright © 2004-2024 vtrois.com All Rights Reserved
更新时间:2026/4/6 20:02:27