网站首页  词典首页


请输入您要查询的字词:

 

字词 适应常见环境条件的基本措施
类别 中英文字词句释义及详细解析
释义

适应常见环境条件的基本措施


1.高温环境

我国地处热带和寒带之间,气温最高可达+50℃(西北沙漠地区),最低可达-40℃(黑龙江漠河地区)。对于大多数户外工作的电子设备都要求其工作温度在+50~-40℃之间。电子设备发热的主要原因一是环境温度,二是内部发热元件(变压器、线绕电阻器、大功率晶体管等)所散出的热量。高温的危害主要表现在使电子设备性能下降,绝缘材料老化、参数变化、热胀变形、降低寿命等。预防的措施主要有以下几条:

(1)合理布置机内元件。将发热元件安装在易于散热或远离怕热的元件的地方。

(2)采用散热措施。散热有三种方式,即对流、传导和辐射。如在大功率晶体管上加装散热片,设备内部装冷却风扇,设备外壳设计通风孔等。

(3)选择耐高温、膨胀系数小的元器件。例如线绕电阻选用被釉电阻,可耐高温达300℃。

(4)采用温度补偿措施。例如采用“对管”组成的差动式放大电路等。

为检验散热效果,电子设备必须做耐高温试验。耐高温试验是将电子设备放在恒温箱中,在规定的时间内将温度升到某一数值(一般+80℃),再保温一段时间(一般为半小时至数小时不等)后进行测试,观察各种性能指标能否满足设计要求。

2.如何适应潮湿和灰尘较多的环境

(1)选择耐潮湿的材料。例如塑料、陶瓷等,尽量少用纸质元件。

(2)在设备中放置吸湿剂,例如硅胶等,以吸取机内的潮气。

(3)利用通风方式,排除环境中的灰尘和具有化学物质的气体,减少这些有害物质的含量。或者把设备内部加热,使其高于机箱外部的温度,避免潮气的侵入。

(4)浸渍。用具有良好绝缘性能的漆或蜡等材料,填满元器件的所有间隙中,以提高防潮性能,增加绝缘强度。例如变压器的线圈,虽然采用纸质材料,但经过浸渍后耐潮湿性能大大提高。

(5)灌封。把元器件放在绝缘油中,或用沥青、环氧树脂等材料密封起来,以免潮气浸入。

(6)表面处理。在器件或设备表面进行喷漆、电镀、抛光或氧化处理等。例如在钢板表面镀锌或镀铬,在铜表面镀银,在铝表面进行氧化处理。对于非金属材料,也可以先使其表面金属化处理以后再形成镀层。常用的方法是在器件表面喷一层油漆薄膜,使其有憎水性,这样既避免潮气侵蚀,又能增加美观,但这个办法只适于不进行焊接,不做滑动转动,没有高热的部位。

抗潮湿的环境试验,一般是在潮湿箱中进行。潮温箱是由类似淋雨的设备加上使水分蒸发的加热器构成,借助于它能获得潮湿的环境。一般的试验条件应做到相对湿度在95%以上。

3.如何适应具有振动和冲击的环境

这个问题的提出,主要是考虑到电子设备制成以后,要进行装箱、运输(汽车颠簸、火车装卸、飞机升降)或者在使用过程中搬动、撞击等情况。当然这种设备如果在汽车船舶、飞机或有较大振动的场合下使用,就更应考虑这个问题。

振动和冲击的影响,可以造成元器件移位、裂纹、弯曲、或螺钉松动、折断等情况,还会发生电子管内碰极、继电器触点失常、焊点脱焊等。

振动是方向交变的运动,用振动频率和最大振幅来表示。例如一般的汽车振动频率为几赫到几百赫,最大振幅为零点几到几毫米。

冲击是突然承受动态负荷,往往是一次的或脉冲式的。器件所承受的振动负荷虽然比冲击负荷小,但振动的持续时间长,元器件容易“疲劳”,所以破坏性更大。

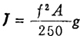
振动和冲击都可以用重力加速度来表示。

式中f为振动频率;A为最大振幅(mm);g=9.81m/s2,J为振动和冲击加速度。

例如:一台电子设备为5kg,用卡车运输,振动频率为100Hz,最大振幅A=2mm,则加速度

设备受的力

式中m为物体的质量,m=G/g(G为物体的重量)。如果机内一变压器的重量为G′=1kg,则它所受的力

可见它所承受的力还是比较大的,用于固定它的螺钉等零件应有足够的机械强度才行。

常用的防震、减震措施主要有以下几种:

(1)尽量减小设备的重量,选用小型元件,机内的元器件分布要均匀,重心放在整机的下方。

(2)元器件都应固定好,微调元件要锁紧,继电器触点要竖着装,否则(水平位置)在振动时很容易误动作。特别是插接件域“抽屉式”部件要有定位锁扣,以免振动时脱出。

(3)焊点要焊牢,必要时应当用钩焊方式。较大的焊接点应当用螺钉加固。

(4)设备内部尽量不要用悬臂梁,不要用易碎元件(例如玻璃件)。

(5)采用减震措施(加弹簧垫或橡皮垫),怕震的部件(例如高倍放大器),四周要用弹簧与机体连接,而不能用硬件连接。

(5)装箱时须用减震材料(如泡沫)填充在包装箱内。

抗震动和抗冲击的环境试验,是把被试设备样品放在震动台或冲击台上来做。根据使用条件的要求来调整试验台的参数(振动频率、幅值、振动方向、加速度),确定持续试验的时间和试验次数。

随便看

 

离鸟网收录3541549条中英文词条,其功能与新华字典、现代汉语词典、牛津高阶英汉词典等各类中英文词典类似,基本涵盖了全部常用中英文字词句的读音、释义及用法,是语言学习和写作的有利工具。

 

Copyright © 2004-2024 vtrois.com All Rights Reserved
更新时间:2026/4/6 16:14:51