网站首页  词典首页


请输入您要查询的字词:

 

字词 通风库的结构和建造
类别 中英文字词句释义及详细解析
释义

通风库的结构和建造


通风库的类型、规模各异,通常根据库体位于地面的上下位置,划分为地上、半地下、全地下式3种;根据空气流动又可分为自然通风库和强制通风库2种。

传统自然通风库主要是依靠檐窗、天窗、门、侧旁气孔通风换气,换风量小,降温速度慢,库体隔热层薄,库温昼夜波动大(如图3-4)。因此,人们对通风库进行了改造,改良式通风库结构如图3-5。

图3-4 传统半地下式自然通风库示意图

1-气孔 2-天窗 3-檐窗

图3-5 改良半地下式通风库示意图

改良式通风库设计要点是:

(1)地势。在地下水位允许的情况下,采用地下或半地下式建筑。当库内地面深至地下4~4.5m时,不仅造价低,而且蓄冷隔热效果好。

(2)走向。库体南北走向,北或东开门,以减少高温季节出入库时热空气进入,以及减少太阳辐射。

(3)几何尺寸。库内较佳的长宽比为3∶1,小型库高度宜3.5~4.5m,以利于通风和提高利用率。

(4)保温。地面裸露部分(包括库顶)增设一定厚度的保温层,其隔热热阻应大于1.52,一般以膨胀珍珠岩为典型经济隔热材料(即导热系数与价格乘积最小)。有条件的地区可建造夹套库,标准夹套库为主体库的四周、上下均与周围土层有通风口,或形象地说大库中悬浮小库。或建造改良式夹套库即主体库的四周、下部有通风道。墙体、库顶均可以采用膨胀珍珠岩、稻壳、麦糠为保温层,或墙体培土保温蓄冷。若以土为保温层,热阻要达到1.52,根据经验值推算其土层厚约1m。根据土壤传热理论计算,9月份库顶最高气温传入土层深度为1.62m,因此库顶覆土需大于1.8m。

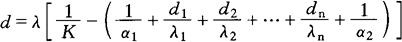
地上部分保温层厚度可用宋壮兴提出的公式计算:

式中 d——隔热层材料总厚度,m

λ——所采用防热材料的热导率,W/(m·℃)

d1、d2…dn——各层建筑材料的厚度,m

λ1、λ2…λn——各层建筑材料的热导率,W/(m·℃)

α1、α2——分别为墙或屋面的外表面、内表面的热导率,W/(m·℃)

K——围护结构的传热系数W/(m2·℃)

(5)通风。安装轴流排风机(扇)强制通风。通常从门进风,在门相对的库壁距地2/3高处设排风机。全地下库可另设风道,但最小截面积为0.8~1.0m2

根据经验在我国北方地区,每1h的通风量为库体积的15~20倍最佳,用优化方法计算,采用大烟(风)囱通风时,最小直径1.63m,最大高度为6m。采用风机通风时,通风的方式有排风、鼓风及卧式送风,其中以轴流式排风效果最佳,降温速度最快,通常温度滞后仅0.5h。

通风系统以风流程划分有直通式、走廊式、夹套式、分道式、接力式等。直通式用于普通单体库;走廊式用于“非”字形库群,或大库小贮藏室;夹套式和分道式既可用于单体库,又适用于库群,特点是秋季能有效地切断地热,有利库体快速降温,整体通风效果好,库温均匀。冬季利用分道(盖板、调节门关闭)通风,既避免保鲜产品遭受冻害,又进一步冷却周围土层和围护结构温度,达到充分蓄冷的目的,使冬季通风蓄冷与贮藏产品同期进行。有条件时还可以在夹套、分道内贮冰,延缓春季库温回升。

随便看

 

离鸟网收录3541549条中英文词条,其功能与新华字典、现代汉语词典、牛津高阶英汉词典等各类中英文词典类似,基本涵盖了全部常用中英文字词句的读音、释义及用法,是语言学习和写作的有利工具。

 

Copyright © 2004-2024 vtrois.com All Rights Reserved
更新时间:2026/5/25 8:45:54