网站首页  词典首页


请输入您要查询的字词:

 

字词 配料
类别 中英文字词句释义及详细解析
释义

配料


众所周知,聚氯乙烯塑料在成型加工和使用过程中,受到热和光的作用而氧化降解,同时助剂也会损失。.此外各种聚氯乙烯制品的配方也不同,因此控制回收料的质量时保证再生制品的使用价值是一个重要问题。由于目前尚缺乏成熟简便的检验方法,故一般通过试验,进行物理力学性能测定,然后决定复制品的配方。确定配方的原则如下:

(一)助剂选择

(1)再生制品价格较低,因此选择助剂时应考虑成本。

(2)废旧塑料的颜色不同,故不宜生产浅色的制品,对助剂的色泽要求不高。

(二)助剂加入量的估算

一般是通过经验和试验配方来确定助剂的添加数量。增塑剂添加量的估算可参考下式:

式中 x——增塑剂的添加量(kg)

A——聚氯乙烯废旧料总量(kg)

B——要求再生料中增塑剂的百分率

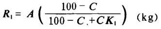
R1——Akg废旧料中去除增塑剂后的重量(包括树脂和其它助剂)

式中 C——聚氯乙烯废旧料配方中增塑剂的百分率

K1——聚氯乙烯废旧料中增塑剂的保留系数(K1=1—K,K=废旧料中增塑剂的损耗系数)。

例:设废旧聚氯乙烯农业薄膜A=1000kg,以此加工再生鞋底(要求鞋底中增塑剂用量为60份),按上式估算增塑剂的添加量。聚氯乙烯农用薄膜配方中一般增塑剂用量为45份,换算百分率约为30%,要求鞋底中增塑剂60份换算百分率约为38%。按经验废旧聚氯乙烯农膜的增塑剂损耗约为10%;则K1=0.9,

即需添加增塑剂量约160kg。其它助剂一般根据经验确定加入量。

(三)再生制品的配方

再生塑料制品的配方举例见表8-4-6。

表8-4-6 配方举例

随便看

 

离鸟网收录3541549条中英文词条,其功能与新华字典、现代汉语词典、牛津高阶英汉词典等各类中英文词典类似,基本涵盖了全部常用中英文字词句的读音、释义及用法,是语言学习和写作的有利工具。

 

Copyright © 2004-2024 vtrois.com All Rights Reserved
更新时间:2026/4/8 22:12:51