网站首页  词典首页


请输入您要查询的字词:

 

字词 酸性嫩黄2G
类别 中英文字词句释义及详细解析
释义

酸性嫩黄2G


〔其他名称〕酸性嫩黄2GS;酸性淡黄2G

〔国内编号〕酸性黄2 C1酸性黄17(18965)

〔国外相应商品名〕

Eyio Fast Flavine 3G(Gy)

Xylene light Yellow 2G,3G(S)

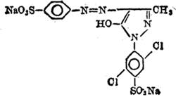
〔结构式〕

〔质量规格〕

〔性质〕

1.溶于水呈绿光黄,微溶于酒精和丙酮,不溶于其它有机溶剂。

2.遇浓硫酸呈绿黄色,稀释后不生成沉淀;遇浓硝酸呈红光黄溶液。

3.水溶液加盐酸不变,加烧碱液几乎不变,加雕白块脱色,但在空气中氧化,溶液又显出红光紫色。

4.染色时遇铜、铁色泽稍红而暗。

5.拔染性能好。

〔制备方法〕

〔用途〕

用于服装革、手套革及彩色鞋面革的染色拼色。

〔贮运使用注意事项〕

应贮存在干燥、通风的地方,避免日晒,搬运时小心轻放,并防止受热受潮,保存期为四年。

〔生产单位〕

天津染料厂;上海染化八厂。

随便看

 

离鸟网收录3541549条中英文词条,其功能与新华字典、现代汉语词典、牛津高阶英汉词典等各类中英文词典类似,基本涵盖了全部常用中英文字词句的读音、释义及用法,是语言学习和写作的有利工具。

 

Copyright © 2004-2024 vtrois.com All Rights Reserved
更新时间:2026/4/7 21:02:17