网站首页  词典首页


请输入您要查询的字词:

 

字词 酸性红6B
类别 中英文字词句释义及详细解析
释义

酸性红6B


别名 酸性品红6B

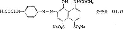
结构式

性能 深红色粉末。溶于水呈蓝光红色至品红色,微溶于乙醇、丙酮和溶纤素,不溶于其他有机溶剂。遇浓硫酸呈蓝光红色,稀释后呈亮红色,遇浓硝酸呈绯红色后转橙色。水溶液加浓盐酸呈品红色,加氢氧化钠溶液呈橙棕色。染色时遇铜、铁离子其色泽前者微蓝暗,后者略浅,遇铬离子很少影响。匀染性好。

质量规格(参考)

用途 用于羊毛、丝绸和锦纶织物和皮革的染色以及纸张、肥皂、木材、医药和化妆品的着色。还用于生物着色。

国内生产厂 辽宁丹东染料厂、江苏宝应染料厂。

随便看

 

离鸟网收录3541549条中英文词条,其功能与新华字典、现代汉语词典、牛津高阶英汉词典等各类中英文词典类似,基本涵盖了全部常用中英文字词句的读音、释义及用法,是语言学习和写作的有利工具。

 

Copyright © 2004-2024 vtrois.com All Rights Reserved
更新时间:2026/4/9 18:03:00