网站首页  词典首页


请输入您要查询的字词:

 

字词 醇测定法
类别 中英文字词句释义及详细解析
释义

醇测定法


1.定义和原理

试样用醋酐乙酰化,测定乙酰化油中的含酯量,计算出原来试样中含醇的百分率。

R、R′、R″代表氢原子、脂肪族、芳香族或脂环族的基团。

如果试样中含有醇结构为未知或含有多种醇类,可用乙酰化后酯值来估计试样中含醇量的高低。乙酰化后酯值即用来中和1g被乙酰化的试样中所含酯类在水解后释放的酸所需氢氧化钾的毫克数。

以上方法适用于伯、仲醇的测定。叔醇不能定量地生成乙酯,要部分或全部被破坏和脱水,因此要用第二法即氯化乙酰——二甲基苯胺法测定。

2.测定方法

2.1 第一法(乙酰化法) 测定总醇。本法适用于某些伯醇和仲醇的测定。

2.1.1 仪器和试剂。

2.1.1.1 乙酰化瓶:100mL具有空气冷凝器。

2.1.1.2 量筒:10mL或50mL。

2.1.1.3 分液漏斗:250mL。

2.1.1.4 移液管:50mL。

2.1.1.5 皂化瓶:150~250mL具有长约1m,直径10mm的空气冷凝管。

2.1.1.6 锥形瓶。

2.1.1.7 醋酐:分析纯,需要蒸馏(沸点138~141℃),纯度不少于98%。

2.1.1.8 碳酸钠饱和食盐水溶液(2%):溶解2g碳酸钠于100mL食盐饱和溶液中,过滤后备用。

2.1.1.9 食盐饱和溶液。

2.1.1.10 无水碳酸镁:分析纯。

2.1.1.11 0.5mol/LKOH乙醇溶液。

2.1.1.12 酚酞指示液:1%乙醇溶液。

2.1.1.13 盐酸或硫酸标准溶液c(HCl)或(1/2H2SO4)=0.5m0l/L。

2.1.2 操作步骤:

2.1.2.1 乙酰化:量取10mL试样,10mL酯酐和2.00g无水醋酸钠,置于100mL乙酰化瓶中,连接空气冷凝器。放在油浴内缓缓沸腾1h,取出冷却1/2h,加入30mL蒸馏水,在水浴中加热15min,并时时振荡。冷却后,倾入分液漏斗中,静置分层,放去下层酸水溶液,加50mL食盐饱和溶液。充分振荡混合,静置使分层,放去下层水溶液。继用碳酸钠饱和食盐溶液与食盐饱和溶液各50mL依次洗涤,最后用蒸馏水洗涤数次,每次50mL,直至洗液呈中性为止,静置使分层,放去下层水溶液。将所得乙酰化试样置于25mL锥形瓶中,加入3g无水硫酸镁干燥,干燥时务必将瓶塞塞紧,并不时振荡至澄清,用干燥滤纸过滤。

2.1.2.2 皂化:称取干燥乙酰化试样2g左右(精确至0.0002g),置于皂化瓶中,用移液管准确加入50mL氢氧化钾乙醇溶液,连接空气冷凝管,在沸水浴上回流1h。冷却至室温,取下冷凝器,加约5~10滴酚酞指示液,用酸标准溶液(0.5mol/L)滴定至粉红色消失为止,同时不加试样按上述操作程序进行空白试验。

2.1.3 分析结果的表述:

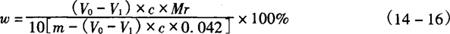
2.1.3.1 游离醇质量分数(w):如试样中酯的含量甚少,可以忽略不计。

2.1.3.2 乙酰化后酯值A:若试样所含醇其结构不明者,则用乙酰化后酯值表示如式(14-17)。

2.1.3.3 总醇(包括假定试样中都是乙酸酯)质量分数(w)。

式中 V0——空白试验所耗酸标准溶液的毫升数,mL

V1——滴定试验所耗酸标准溶液的毫升数,mL

c——酸标准溶液的浓度,mol/L

Mr——醇的相对分子质量

0.042——醋酸酐与醇毫克当量之差数

w1——试样中含酯质量分数,%

——乙酰基与其酯重量的比数

m——乙酰化试样质量

2.1.4 注意事项。

2.1.4.1 此法所用的醋酐在加热时,还能与试样中醇类以外的一些成分相作用。如有些酚类会全部转变为醋酐酯类,醛类亦会发生干扰,使结果偏高。例如香茅油中含有大量香茅醛,用上法测定,结果偏高很多,可用醋酐吡啶冷却法测定比较合理。

2.1.4.2 较难乙酰化的试样可酌量延长乙酰化时间。某些油样可在规定的温度和时间内反应。如苯乙醇温度为165~170℃,反应时间1h;香茅油(160±5)℃,反应时间2h,皂化时间2h;薄荷油(145±3)℃,反应时间75min。

2.1.4.3 如某些油样因皂化后颜色较深,滴定终点不明显时,滴定前可用50mL蒸馏水稀释(空白试验也同样稀释)。

2.1.4.4 在含醇量测定中,10mL试样,10mL醋酐和2g无水醋酸钠的配比,适用于相对分子质量140以上的醇;对相对分子质量较低的醇,如苄醇、苯乙醇等,醋酐虽然有些过量,但过量少了一些,应改用12~15mL醋酐。类似苯乙醇的乙酰化油最后应以食盐饱和溶液代替蒸馏水进行洗涤。

2.1.4.5 按上法亦可计算含酯试样中游离醇的含量(Y)。

式中 d——“乙酰化后酯值”,“酯值”

M——醇的相对分子质量

2.1.4.6 操作过程中所用仪器必须干燥,硫酸镁使用前须经加热灼烧。

2.1.4.7 所加无水醋酸钠的重量和回流时间是测定结果正确性和重复性所必需。

2.1.4.8 本法算式是假定试样中酯都是乙酸酯的形式存在,实际上并非如此。且假定为某一分子量的醇计算,实际上还有其他醇、酚类、内酯、醛和易烯醇化的酮也有部分被计算在内,而且均以一元醇计算,因此不十分精确,国际上称为“评估”而不称“测定”。

2.2 第二法(氯化乙酰——二甲基苯胺法) 本法适用于某些叔醇的测定。

2.2.1 仪器和试剂。

2.2.1.1 定碘瓶:100mL。

2.2.1.2 量筒:10mL,25mL,50mL,100mL。

2.2.1.3 保温箱或恒温水浴。

2.2.1.4 分液漏斗:250mLo

2.2.1.5 锥形瓶:25mL。

2.2.1.6 移液管:50mL。

2.2.1.7 皂化瓶:具空气冷凝器,150mL。

2.2.1.8 滴定管:50mL。

2.2.1.9 二甲基苯胺:分析纯,不含一甲基苯胺:(沸点192.5~193.5℃)。

2.2.1.10 氯化乙酰(99%以上):将氯化乙酰开瓶后,用试管制成安培瓶分装贮存(每瓶约10mL)。每做一试样用1安培瓶,以免氯化乙酰变质。

2.2.1.11 无水硫酸镁:应呈中性,新干燥并经粉碎。

2.2.1.12 乙酐:分析纯,重蒸(沸程138~141℃),纯度不少于98%。

2.2.1.13 硫酸:5%。

2.2.1.14 碳酸钠溶液:10%。

2.2.1.15 食盐饱和溶液。

2.2.1.16 0.5mol/LKOH乙醇溶液。

2.2.1.17 盐酸或硫酸标准溶液[c(HCl)或c(1/2H2SO4)=0.5mol/L]。

2.2.2 操作步骤。

2.2.2.1 乙酰化:量取预先经无水硫酸镁干燥的试样10mL,置于100mL定碘瓶中,用冰水冷却至少10min。加入20mL二甲基苯胺,摇匀后,在冰水中再冷却15min,加入8mL氯化乙酰(打开1安培瓶直接倾入)和5mL乙酐,继续冷却10min,移入20℃保温箱中静置30min,浸入(50±1)℃的水浴中4h(或保温箱中)。瓶底离浴底不少于10mm,液面须低于水面20~30mm。取出倾入分液漏斗中,用冰盐水洗涤3次,每次75mL,继用25mL硫酸(5%)洗涤4~5次,以洗去二甲基苯胺。继用10mL碳酸钠溶液(10%)洗涤1次和50mL食盐饱和溶液洗涤2次,最后用蒸馏水洗涤1次。静置使分层清晰,放去下层水溶液,将所得乙酰化试样置于25mL锥形瓶中,加入约3g无水硫酸镁干燥。干燥时将瓶塞塞紧,并不时振荡,最后用干燥滤纸过滤。

2.2.2.2 皂化:称取干燥乙酰化试样约2g(精确至0.0002g)于150mL皂化瓶中,用移液管加入50mL氢氧化钾乙醇溶液,连接空气冷凝器,在沸水浴上回流1h,冷却至室温,取下空气冷凝器,加入5~10滴酚酞指示液,用酸标准溶液滴定至粉红色消失为止,同时不加试样按上述操作程序进行空白试验。

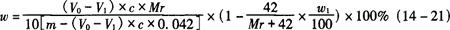
2.2.3 分析结果的表述:

叔醇质量分数按式(14-20)计算:

如试样中有酯存在(假定都是乙酸酯),总醇应按式(14-21)计算:

式中 V0——空白试验所耗酸标准溶液的毫升数,mL

V1——滴定试样所耗酸标准溶液的毫升数,mL

Mr——叔醇的相对分子质量

0.042——与1.00mL酸标准溶液相当的以克表示的乙酸酯与醇的质量之差数

——乙酰基与乙酸酯重量的比数

m——乙酰化后试样重量的,g

c——酸标准溶液的浓度,mol/L

w1——试样中酯质量分数,%

平行试验结果的允许差为0.5%。

2.2.4 注意事项:

2.2.4.1 二甲基苯胺如颜色变深时(原为浅黄色)必须重蒸。

2.2.4.2 氧化乙酰纯度必须99%以上,防止变质。

2.2.4.3 检查二甲基苯胺是否完全洗净,可用下法证实:用几滴酸层洗液加到重铬酸钾溶液中检验,如加入洗液后5min,重铬酸钾溶液色泽不变(与空白对照)即作为洗净。

2.2.4.4 为了加速油层和水层的分离,在最后几次可用温热的饱和食盐水洗涤数次,再用热蒸馏水洗涤。

随便看

 

离鸟网收录3541549条中英文词条,其功能与新华字典、现代汉语词典、牛津高阶英汉词典等各类中英文词典类似,基本涵盖了全部常用中英文字词句的读音、释义及用法,是语言学习和写作的有利工具。

 

Copyright © 2004-2024 vtrois.com All Rights Reserved
更新时间:2026/4/8 15:32:22