网站首页  词典首页


请输入您要查询的字词:

 

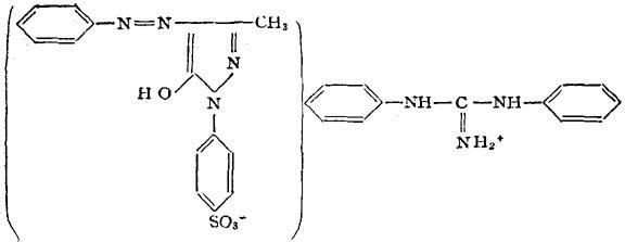
字词 醇溶耐晒黄CGG
类别 中英文字词句释义及详细解析
释义

醇溶耐晒黄CGG


【结构式】:

【释文】:

性质 黄色粉末。极易溶于水和乙醇,溶于丙酮,微溶于苯,于浓硫酸中呈黄色。耐晒4~5级,耐热160℃,耐酸1~2级,耐碱3级,乙醇(95%)溶解度11克/升。

用途 本品可作为塑料用着色剂。

国内生产厂 上海染化十二厂

随便看

 

离鸟网收录3541549条中英文词条,其功能与新华字典、现代汉语词典、牛津高阶英汉词典等各类中英文词典类似,基本涵盖了全部常用中英文字词句的读音、释义及用法,是语言学习和写作的有利工具。

 

Copyright © 2004-2024 vtrois.com All Rights Reserved
更新时间:2026/4/6 20:38:46