网站首页  词典首页


请输入您要查询的字词:

 

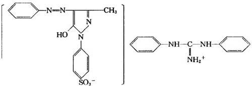
字词 醇溶耐晒黄CGG(醇溶黄CGG;1940醇溶耐晒黄CGG)
类别 中英文字词句释义及详细解析
释义

醇溶耐晒黄CGG(醇溶黄CGG;1940醇溶耐晒黄CGG)


【结构式】:

【释文】:

制法 由酸性嫩黄G与二苯胍的盐酸溶液沉淀而得。

性质 深黄色粉末。分子量569.64。溶于乙醇、丙酮,微溶于苯,不溶于水及其它有机溶剂。在硫酸中呈黄色。耐热性160℃,耐晒性4~5级,耐酸性1~2级,耐碱性3级。在95%乙醇中的溶解度11g/L。

用途 本品可用于橡胶和塑料的着色,耐酸性良好,耐热性较差。

国内生产厂 上海染化十二厂

国外生产厂

随便看

 

离鸟网收录3541549条中英文词条,其功能与新华字典、现代汉语词典、牛津高阶英汉词典等各类中英文词典类似,基本涵盖了全部常用中英文字词句的读音、释义及用法,是语言学习和写作的有利工具。

 

Copyright © 2004-2024 vtrois.com All Rights Reserved
更新时间:2026/4/7 15:11:22