网站首页  词典首页


请输入您要查询的字词:

 

字词 醋酸铵法
类别 中英文字词句释义及详细解析
释义

醋酸铵法


1.适用范围及本法要点 本法被广泛用于中性及酸性土壤交换量的例行分析,其浸提液尚可用于交换性盐基总量及各交换性阳离子的测定。对石灰性土壤若碳酸钙含量少于1%时,可用醋酸铵淋洗法测定,若碳酸钙含量在1-5%之间,可用100ml0.5%或1N醋酸浸泡土壤过夜,以除去碳酸盐后,再按本法测定,若碳酸钙含量过高,一般不宜用本法测定。

本法的优点是:醋酸铵与盐基不饱和土壤作用时,所释放出的是弱酸,不致破坏土壤吸收复合体,醋酸铵的缓冲性强,先后交换出来的溶液的pH几乎不变,如测溶液中交换性盐基时,多余的醋酸铵也易被灼烧分解除去。本法的缺点是:对于某些上壤中含有吸附铵离子性能特别强的粘土矿物(如蛭石或黑云母等),铵离子很难被交换出来,且醋酸铵能与部分腐殖质形成可溶性的溶胶而被淋洗出来,使测定结果偏低,相反,对某些富含铁铝的土壤,又因土壤胶体上吸附的过量铵离子不易被酒精洗去,使测定结果略偏高。

本法要点为:用1N NH4OAc溶液(pH7.0)反复处理土壤,使土为NH4+饱和,过量的NH4OAc用95%乙醇洗去,然后用10%NaCl代换出土壤胶体上的NH4+,溶液中的铵,用定氮蒸馏法进行测定,即可计算求得土壤阳离子交换量。

2.试剂配制

(1)中性1N醋酸铵溶液:取冰醋酸(99.5%)57ml,加蒸镏水稀释至500ml,加69ml浓氨水(NH4OH),再加蒸馏水至约980ml,用NH4OH或HAC调节溶液至pH7.0,然后用蒸馏水稀释到1L。或称化学纯醋酸铵77.09g,用水溶解,定容至近1L,最后调节至pH7.0。

(2)异丙醇99%或乙醇95%。

(3)10%酸化氯化钠溶液:100gNaCl液于1000ml蒸馏水中,加浓盐酸(比重1.19)约0.4ml,此液酸度约为0.005N。

(4)氯化铵—氢氧化铵缓冲液(pH10):将100ml1NNH4Cl与500ml1NNH4OH混合。

(5)铬黑T指示剂:取0.2g铬黑T溶于50ml95%乙醇中,三周内使用。

(6)纳氏试剂:溶解45.5gHgI2和35.0gKI于少量水中,再称112gKOH也溶解于水中,将此溶液倒入1L容量瓶中冷却后加水至刻度,摇匀,放置数日。用虹吸方法将上层澄清液移入棕色试剂瓶中备用。

(7)1N NaOH:称40gNaOH溶于1L水中。

(8)氨蒸馏法测NH4+所需试剂:标准酸,硼酸,溴甲酚绿—甲基红混合指示剂等配法同全氮测定。

(9)石英砂:化学纯。

3.测定步骤 称取4.00-6.00g通过1mm筛孔的风干土样(砂土6g,粘土4g),加2-6g石英砂,混匀。将淋滤管下部塞进干净棉花,使溶液通过棉塞后滤出速度为15-20滴/分,然后将样品移入淋滤管。淋滤管下端,如图13-1接一干净的250ml三角瓶,稍为振摇淋滤管,使管内土面平整。用一张直径稍小于淋滤管内径的圆形滤纸放在土面上,用玻棒轻压滤纸,以免滤纸上浮土粒冲浑。然后缓缓加入中性1NNH4OAc,至液面达淋滤管上端约2-3cm深处为止。

图13-1 自动淋洗装置

另取250ml容量瓶,盛中性1N NH4OAc200ml左右,用一张直径稍大于瓶外径的圆形滤纸贴紧瓶口,使瓶倒立时溶液不流出,并将倒立瓶口伸入淋滤管,使瓶口与管内液面接触,固定容量瓶位置,用玻棒轻轻拨开瓶口滤纸,即可保持自动淋洗,至滤出液无Ca2+为止(用白瓷比色板取滤液2滴,加pH10缓冲液3滴,铬黑T1滴,溶液呈蓝色示无Ca2+,红色示有Ca2+),一般在滤液达150ml左右即可。滤液定容至250ml供交换性盐基的测定。

另取一250ml三角瓶接在淋滤管下,用99%异丙醇或95%乙醇淋洗土壤,至滤液中无NH4+为止(用纳氏试剂检验)。

最后用干净的250ml容量瓶接在淋滤管下,用酸化的10%NaCl淋洗NH4+饱和的土壤,至滤出液无NH4+为止(约200-230ml已足)最后用10%NaCl定容至250ml,摇匀。

吸取淋滤液50ml放入150ml开氏瓶中按普通定氮蒸馏装置图18-1安装好,加入1N NaOH2ml,进行蒸馏,使放出之氨吸收在硼酸中滴定之,同时进行空白试验。蒸馏方法见全氮测定。

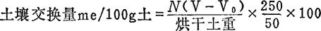
4.结果计算

式中:N——标准酸的当量浓度;

V——样品滴定时所用去的标准酸体积(ml);

V0——空白滴定时所用去的标准酸体积(ml)。

5.注释 本法淋滤步骤,若有离心机设备,可采用离心机离心,操作方法可参照氯化铵—醋酸铵法。

随便看

 

离鸟网收录3541549条中英文词条,其功能与新华字典、现代汉语词典、牛津高阶英汉词典等各类中英文词典类似,基本涵盖了全部常用中英文字词句的读音、释义及用法,是语言学习和写作的有利工具。

 

Copyright © 2004-2024 vtrois.com All Rights Reserved
更新时间:2026/4/9 17:52:57