网站首页  词典首页


请输入您要查询的字词:

 

字词 重要分布的数学期望与方差
类别 中英文字词句释义及详细解析
释义

重要分布的数学期望与方差


(0-1)分布

P{X=1}=p,P{X=0}=1-p.

E(X)=p=P{X=1}.

D(X)=p(1-p)=P{X=1}P{X=0}.

二项分布X~B(n,p)

E(X)=np,D(X)=np(1-p).

泊松分布X~P(λ)

E(X)=λ,D(X)=λ.

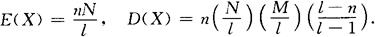
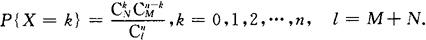
超几何分布

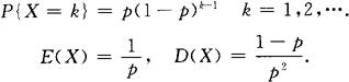
几何分布

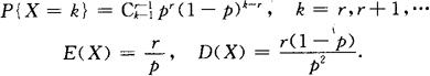
负二项分布(帕斯卡分布)

均匀分布 X~U(a,b)

指数分布 X~E(λ)

正态分布 X~N(μ,σ2)

E(X)=μ,D(X)=σ2

特例:标准正态分布X~N(0,1)

E(X)=0,D(X)=1.

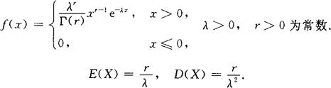
伽马分布(Γ分布)

随便看

 

离鸟网收录3541549条中英文词条,其功能与新华字典、现代汉语词典、牛津高阶英汉词典等各类中英文词典类似,基本涵盖了全部常用中英文字词句的读音、释义及用法,是语言学习和写作的有利工具。

 

Copyright © 2004-2024 vtrois.com All Rights Reserved
更新时间:2026/4/7 17:45:20