当鉴定样品数量超过1000时,则需采用乘以校正因素,加以调整容许差距。
例4:有一批小麦种子,第一次测定的品种纯度为97%,后经7500株样品鉴定,其品种纯度为96.2%。两次测定误差为97.0-96.2%=0.8%。两次测定结果的平均纯度为96.6%,调为整数是97%。
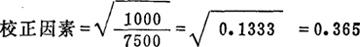
先从表14-1中查出1000株样品和纯度为97%的容许差距为1.3%,然后求出校正因素:

最后求出适用本测定的容许差距是:
(1.3)×(0.365)=0.47,再化为整数为:0.5%
本批种子两次测定的误差为0.8%,已超过容许差距0.5%的范围,从而说明,该批种子标签所标明的品种纯度有错误。
【参考文献】:
〔1〕Jeffers,J.N.R(1975),Statistical tests for varietal purity,Seed Sci.& Techn01.3:615—617.
〔2〕Miles,S.R(1963),Handbook of Tolerances and of Measures of precision for Seed testing,Proc.Int.Seed Test.ASS.Vol.28(1963)No.3:524—686.