网站首页  词典首页


请输入您要查询的字词:

 

字词 钛酸酯偶联剂NDZ-101
类别 中英文字词句释义及详细解析
释义

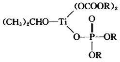
钛酸酯偶联剂NDZ-101


【结构式】:

【释文】:

性质 红色透明稍稠液体。相对密度0.976。折光率1.477。闪点178℃。粘度120±40×10-6m2/s。溶于丙酮、石油醚等有机溶剂,不溶于水。易水解。

用途 本品为单烷氧型钛酸酯,适用于含填料聚乙烯、聚氯乙烯、聚丙烯、聚苯乙烯等树脂中,可改善其流动性,提高制品的抗冲强度。也可用于含填料醇酸树脂,以降低粘度,增加填充量。此外,本品用于橡胶中可提高其拉伸强度。

国内生产厂 南京曙光化工厂

随便看

 

离鸟网收录3541549条中英文词条,其功能与新华字典、现代汉语词典、牛津高阶英汉词典等各类中英文词典类似,基本涵盖了全部常用中英文字词句的读音、释义及用法,是语言学习和写作的有利工具。

 

Copyright © 2004-2024 vtrois.com All Rights Reserved
更新时间:2026/4/6 18:29:41