网站首页  词典首页


请输入您要查询的字词:

 

字词 钢尺的精密量距
类别 中英文字词句释义及详细解析
释义

钢尺的精密量距


一般方法量距,忽略了尺长误差、外界因素对量距的影响,量距精度一般只能达到1/1000~1/4000。对于精度要求较高的量距,如施工放样中某些部位的测设,常常要求量距精度达到1/10000~1/40000。

当用钢尺进行精密量距时,钢尺必须检定,并得出在检定时的拉力与温度条件下应有的尺长方程式。丈量前应先用经纬仪定线。

如地势平坦或坡度均匀,可测定直线两端点高差作为倾斜改正的依据;若沿线地面坡度有起伏变化,标定木桩时应注意坡度变化处,两木桩间距离略短于钢尺全长,木桩顶高出地面2~3cm,桩顶用“+”来标示点的位置,用水准仪测定各坡度变换点木桩桩顶间的高差,作为分段倾斜改正的依据。丈量时钢尺拉环一端用弹簧秤牵引,两端尺边紧靠桩顶“+”字中心,使拉力等于钢尺检定时的拉力(一般30m钢尺拉力为10kg),都对准尺段端点进行读数。如钢尺仅零点端有毫米分划,则须以尺末端某分米分划对准尺段一端以便零点端读出毫米数。每尺段丈量三次,以尺子的不同位置对准端点,其移动量一般在1dm以内。三次读数所得尺段长度之差视不同要求而定,一般不超过2~5mm,若超限,须进行第四次丈量。丈量完成后还须进行成果整理,即改正数计算,最后得到精度较高的丈量成果。

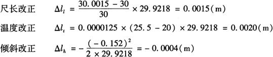
1.尺长改正△ll

由于钢尺的名义长度和实际长度不一致,丈量时就会产生误差。设钢尺在标准温度、标准拉力下的实际长度为l,名义长度为l0,则一整尺的尺长改正数为:

△l=l-l0

每量1m的尺长改正数为:

丈量D′距离的尺长改正数为:

钢尺的实际长度大于名义长度时,尺长改正数为正,反之为负。

2.温度改正△lt

丈量距离都是在一定的环境条件下进行的,温度的变化,对距离将产生一定的影响。设钢尺检定时温度为t0(℃),丈量时温度为t(℃),钢尺的线膨胀系数α一般为1.25×10-5/℃,则丈量一段距离D′的温度改正数△lt为:

△lt=α(t-t0)D′

当丈量时温度大于检定时温度,改正数△lt为正,反之为负。

3.倾斜改正△lh

设量得的倾斜距离为D′,两点间测得高差为h,将D′改算成水平距离D需加倾斜改正△lh,一般用下式计算:

倾斜改正数△lh永远为负值。

4.全长计算

将测得的结果加上上述三项改正值,即得

D=D′+△ll+△lt+△lh

相对误差在限差范围之内,取平均值为丈量的结果,如相对误差超限,应重测。

钢尺丈量手簿见表4-1。

表4-1 钢尺量距记录计算手簿

对表4-1中A-1段距离进行三项改正计算。

经上述三项改正后的A-1段的水平距离为:

DA-1=29.9218+0.0020+(-0.0004)+0.0015=29.9249(m)

其余各段改正计算与A-1段相同,然后将各段相加为83.8598m。如表4-1中,设返测的总长度为83.8524m,可以求出相对误差,用来检查量距的精度。

若将平均值保留3位小数,则最后结果为83.856m。

随便看

 

离鸟网收录3541549条中英文词条,其功能与新华字典、现代汉语词典、牛津高阶英汉词典等各类中英文词典类似,基本涵盖了全部常用中英文字词句的读音、释义及用法,是语言学习和写作的有利工具。

 

Copyright © 2004-2024 vtrois.com All Rights Reserved
更新时间:2026/4/7 20:40:45