网站首页  词典首页


请输入您要查询的字词:

 

字词 钢筋等截面及等强度代换
类别 中英文字词句释义及详细解析
释义

钢筋等截面及等强度代换


根据钢筋理论重量与截面面积比例关系和强度系数(设计强度)如下:

截面面积=理论重量×1.274(cm2)

理论重量=截面面积×0.785(kg/m)

强度系数,

Ⅰ级钢 2.4

Ⅱ级钢 3.4

Ⅲ级钢 3.8

等截面代换 一般指原设计钢筋和代换钢筋的材质(设计强度)相同,但直径不同时的代换公式为:

〔计算例〕 某设计采用10间隔180毫米配筋,因10钢筋无货,拟用8,或12代换,代换钢筋的间距应是多少?

①若用8代换时:

②若用12代换时:

③若用8和12间隔布置配筋代换时:

代换钢筋根数 适用于采用根数配筋时,其公式为:

〔计算例〕 某设计配筋为10根10,拟用8或12代换,代换后应是多少根?

①若用8代换时:

②若用12代换时:

说明:采用根数代换时,一定要注意构造要求。

等强度代换 一般指原设计钢筋代换钢筋的规格(直径)相同或者不同,但材质(设计强度)不同时的代换,其公式为:

〔计算例〕 原设计10间隔180毫米(Ⅰ级钢),现采用8或10代换(Ⅱ级钢),代换钢筋的间距应是多少?

①若用8代换时:

②若用10代换时

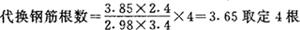
代换钢筋根数 (按强度)适用于设计采用根数配筋时,其公式如下:

〔计算例〕 原设计采用4根25(Ⅰ级钢),若用(Ⅱ级钢)22代换钢筋需要几根?

随便看

 

离鸟网收录3541549条中英文词条,其功能与新华字典、现代汉语词典、牛津高阶英汉词典等各类中英文词典类似,基本涵盖了全部常用中英文字词句的读音、释义及用法,是语言学习和写作的有利工具。

 

Copyright © 2004-2024 vtrois.com All Rights Reserved
更新时间:2026/5/25 13:08:52