网站首页  词典首页


请输入您要查询的字词:

 

字词 银硃R
类别 中英文字词句释义及详细解析
释义

银硃R


别名 3106颜料银硃R、3001颜料银硃R

国外相应商品名:Permanent red(德国赫司特);Irgalite red PRR(瑞士汽巴-嘉基);Painichi Permanent red RX(日本染料);Monolite red G,GF(英国卜内门)

染料索引号:C.I.颜料红4(12085)

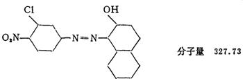
结构式

性能 红色粉末,色光鲜红。不溶于水,微溶于乙醇、丙酮及纯苯。流动性好,遮盖力亦较佳。具有耐光的优越特点。耐热性较差。

质量规格(沪Q/HG15-1126-82)

质量指标

性能指标

用途 文教工业用于制造油墨、水彩、油彩颜料、印泥等,还用于橡胶、天然生漆和化妆品及涂料的着色剂。GB7916-87规定不得用于眼部化妆品。唇膏中用量≤3%。

包装贮运 硬纸板桶、纤维板桶或铁桶包装,内衬塑料袋,每桶净重20kg。产品贮藏于干燥通风之处,防止雨水淋湿,切勿与酸、碱、油类及可燃物堆放在-起。

国内生产厂 上海染化十二厂、天津染化六厂等。

随便看

 

离鸟网收录3541549条中英文词条,其功能与新华字典、现代汉语词典、牛津高阶英汉词典等各类中英文词典类似,基本涵盖了全部常用中英文字词句的读音、释义及用法,是语言学习和写作的有利工具。

 

Copyright © 2004-2024 vtrois.com All Rights Reserved
更新时间:2026/4/9 13:37:32