网站首页  词典首页


请输入您要查询的字词:

 

字词 铸造合金的收缩
类别 中英文字词句释义及详细解析
释义

铸造合金的收缩


4.2.2.1 铸造合金的收缩

铸件在凝固过程中其体积和尺寸缩小的现象叫做收缩.收缩是铸造合金的物理性质,是铸件中许多缺陷(缩孔、缩松、裂纹、变形、残余内应力等)产生的主要原因.金属液从浇注温度冷却到常温经历以下三个收缩阶段:

(1)液态收缩.从浇注温度冷却到液相线温度的收缩称为液态收缩,此时合金处于液态,合金体积的减校表现为型腔内金属液面的降低.液态收缩与合金液体的过热度成正比.

(2)凝固收缩.从液相线温度冷却到固相线温度的收缩称为凝固收缩.共晶成分的合金及纯金属是在恒温下结晶,凝固收缩较小.在一定温度范围内结晶的合金,凝固温度范围大者,凝固体收缩率也大.

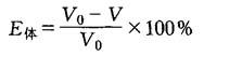
液态收缩和凝固收缩常以体积的变化(体收缩)来表示.体收缩的计算公式为:

式中 E——合金的体收缩,为一个百分数,常称体收缩率;

V0——被测试合金试样在高温t0时的体积,cm3

V——被测试合金试样在降至温度t时的体积,cm3

铸造合金的体收缩,是使铸件产生缩孔或缩松的基本原因.一般的规律是,合金的凝固温度范围愈校则愈易形成缩孔;反之,易形成缩松.铸造合金的缩孔或缩松,是不可避免的.在生产实践中,可采取适当的铸造工艺措施,促使缩孔迁移到铸件之外的冒口中;或使缩松高度细小而弥散,从而尽量减弱其危害作用.

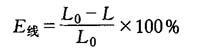
(3)固态收缩.从固相线温度冷却到常温的收缩称为固态收缩,表现为铸件各个方向上线尺寸的缩小.固态收缩对铸件的形状和尺寸精度影响最大,所以常用线收缩率表示.线收缩的计算公式为:

式中 E线——合金的线收缩,为一个百分数,常称为线收缩率;

L0——被测合金的试样在温度t0时的长度,mm;

L——被测合金的试样在温度降至t时的长度,mm.

铸造合金的线收缩,主要取决于合金在固态的收缩.合金的线收缩产生的铸件缺陷主要有:铸造内应力、铸件裂缝、铸件变形、铸件尺寸变化等.

在铸造生产中,为弥补铸件尺寸的实际收缩量,在制作模型时采取相应的“缩尺”,即铸造收缩率E,常用公式如下:

式中 E——铸造收缩率,用一个百分数表示;

L——铸型(或模型)的尺寸,mm;

L——铸件的尺寸,mm

不同合金的收缩率不同,表4-7给出铁碳合金的收缩率.铸钢的收缩率最大,灰口铸铁的收缩率最小.

表4-7 几种铁碳合金的收缩率

4.2.2.2 影响收缩的因素

影响收缩的主要因素有:

(1)合金的化学成分.铸铁中促进石墨形成的元素增加,收缩减校阻碍石墨形成的元素增加,收缩增大.在灰口铸铁中,碳是形成石墨的元素,硅是促进石墨形成的元素石墨的比容较大,在结晶过程中,因石墨析出所产生的体积膨胀,抵消了部分凝固收缩,故灰口铸铁的收缩较小.硫能阻碍石墨的析出,使铸铁的收缩增大.

(2)浇注温度.合金的浇注温度越高,过热度越大,液态收缩量增加,故总的收缩量增大.对灰铸铁而言,生产中常采用高温出炉和低温浇注的工艺措施,因为,在一定范围内提高过热度和延长静置时间能使气体和杂质上浮而被去除.铁水内非自发晶核数减少,将引起较大的过冷,从而细化了石黑片及金属基体组织,并减少了收缩量.

(3)铸件结构和铸型条件.铸件在铸型中冷却时,会受到铸型和型芯的阻碍,故铸件的实际收缩量小于自由收缩量.此外,铸件的形状、尺寸和工艺条件不同,实际收缩量也有所不同.因此,在设计模型时,必须根据合金的品种、铸件的形状、尺寸等因素,选取合适的模型收缩放尺.

随便看

 

离鸟网收录3541549条中英文词条,其功能与新华字典、现代汉语词典、牛津高阶英汉词典等各类中英文词典类似,基本涵盖了全部常用中英文字词句的读音、释义及用法,是语言学习和写作的有利工具。

 

Copyright © 2004-2024 vtrois.com All Rights Reserved
更新时间:2026/4/6 23:10:39