网站首页  词典首页


请输入您要查询的字词:

 

字词 锂离子的测定
类别 中英文字词句释义及详细解析
释义

锂离子的测定


(一)原子吸收光谱法

1.原理 用磷酸钠消除锶和抑制锂的电离干扰。样品溶液吸入火焰,在670.8nm波长处测定其吸光度,用标准曲线法测定卤水中锂含量。

2.适用范围 黄、黑、岩卤。

3.测定手续

(1)标准曲线的绘制备 吸取0.00、1.00、2.00、3.00、4.00、5.00、6.00ml锂标准溶液(50μg/ml,表7-1-17),分别置入50ml容量瓶中,各加4ml 9%磷酸钠溶液,用水稀至刻度,摇匀。干滤纸、干漏斗过滤后,在原子吸收光度计上,670.8nm波长、0.1mm狭缝、3.5mA灯电流测定,并绘制标准曲线。

(2)样品测定 吸取一定量稀释样品溶液(相当于原样品溶液0.01~0.02ml)于50ml容量瓶中,以下操作同标准曲线。测得吸光度,由标准曲线上查出稀释样品溶液中锂的浓度。计算样品中含量。

注:岩卤的测定需在标准系列中加入试液相当量的氯化钠。

(二)火焰光度法

1.原理 以草酸分离钙后,将试液吸入火焰,通过干涉滤光片(670nm),测定锂的特征谱线强度,计算卤水中锂含量。

2.适用范围 黄卤、黑卤、岩卤。

3.测定手续

(1)标准系列溶液 吸取1.00、2.00、4.00、6.00、8.00ml锂标准溶液(500μg/ml),分别置入100ml容量瓶中,加水稀至刻度,摇匀。

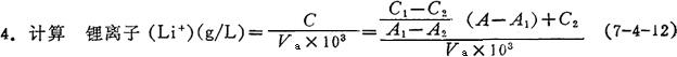
(2)样品测定 吸取样品溶液15.00~50.00ml(黄卤25.00ml,岩卤50.00ml)于150ml烧杯中,加水至50ml,加1滴0.1%甲基橙指示液,加热至近沸,缓慢加入5ml饱和草酸溶液,在不断搅拌下加热至沸,冷却至室温,用1∶3氨水中和至溶液呈橙色;将溶液转入100ml容量瓶中,加水稀至刻度,摇匀。干滤纸、干漏斗过滤于50ml烧杯中,先试测与试液含量相近的两个标准溶液,并在这两个标准中加入与试液相当量的钾和钠(在仪器上测试),通过锂干涉滤光片(670nm)在相同条件测定标准和样品溶液的读数值,计算出样品中锂的含量。

式中 C——样品溶液中锂的浓度(μg/ml)

C1——读数高于样品溶液的标准溶液浓度(μg/ml)

C2——读数低于样品溶液的标准溶液浓度(μg/ml)

A1——标准C1的读数

A2——标准C2的读数

A——样品溶液的读数

Va——被测样品溶液中相当原样品量(ml)

随便看

 

离鸟网收录3541549条中英文词条,其功能与新华字典、现代汉语词典、牛津高阶英汉词典等各类中英文词典类似,基本涵盖了全部常用中英文字词句的读音、释义及用法,是语言学习和写作的有利工具。

 

Copyright © 2004-2024 vtrois.com All Rights Reserved
更新时间:2026/4/7 22:10:49