1.给水管的阻力计算
水在流动过程中,用于克服阻力而损耗的机械能,称总水头损失,其计算方法如下:
(1)精确算法

式中 H2——总水头损失,m
h1——沿程水头损失,m
h2——局部水头损失,m
i——单位管长的水头损失,mm/m(见表6-4-41)
L——管长
ζ——局部阻力系数(见表6—4-43)
v——流速,m/s
g——重力加速度,9.8m/s2
(2)概略算法
H2=h1+h2=h1+(0.1~0.3)h1=(1.1~1.3)h1
式中符号同精确算法
2.蒸汽管的阻力计算
(1)蒸汽管在同一管道,同一流速,不同蒸汽压下的蒸汽流量及阻力损失每小时的蒸汽流量及阻力损失均不同,见表6-4-43。计算公式如下:
表6-4-43 局部阻力系数


计算公式为

式中 Q1、Q2——两根等径管道中的蒸汽流量,t/h
P1、P2——两根等径管道中的蒸汽表压,kPa
i1、i2——两根等径管道中,不同蒸汽表压时的每米压力降,mmH2O/m
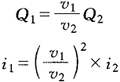
(2)在相同压力下,蒸汽流量及阻力损失 计算公式如下:

式中 Q1、Q2、i1、i2——均同上式
v1、v2——相同压力下不同流速时的每米压力降,mmH2O/m
注:1mmH2O/m=9.80665Pa/m。