网站首页  词典首页


请输入您要查询的字词:

 

字词 陀螺经纬仪的精度与检校
类别 中英文字词句释义及详细解析
释义

陀螺经纬仪的精度与检校


1.陀螺经纬仪的精度评定

陀螺经纬仪的精度检测有两种方法:一是在地面的高精度方位边上进行,二是在陀螺经纬仪定向过程中进行精度评定。陀螺经纬仪定向即是使用陀螺仪测定洞内或地面待定边的坐标方位角,其中包括:在地面已知边上测定仪器常数;在待定边上测定该边的陀螺方位角;计算待定点的子午线收敛角,以及待定边的坐标方位角;进行定向精度的评定等。

图18-99所示为陀螺经纬仪进行隧道定向时的几何关系。为了测定井下待定边ab的坐标方位角,首先须将陀螺经纬仪安设在地面已知边AB的一个端点上,测定该边的陀螺方位角αTob。因为AB边的坐标方位角αAB和子午线收敛角为已知,则仪器常数:

△=αABA-αTab

图18-99 陀螺经纬仪定向的几何关系

在井下待定边的一个端点a上安置陀螺经纬仪,测定ab边的陀螺方位角αTab,按下式计算ab边的坐标方位角:

αabTab+△-γα

式中 γα——α点子午线收敛角。

陀螺定向程序和要求如下:

(1)测定仪器常数

在定向之前,首先须在地面上选择一条可靠的已知边,测定仪器常数。这条已知边可以是三、四等三角网的边;或是在三、四等网的基础上,用插网、插点或铺设经纬仪导线等方法测设的后视点,其边长不应小于30m。

每次进行待定边陀螺定向测定之前和测量后,都要分别在已知边端点上安置陀螺经纬仪测定该边的陀螺方位角,计算出仪器常数△。一般在第一天的定向之前,测定仪器常数两到三次,井下定向后,返回地面再测两次。如果待定边是若干条,第二天或第三天仍须继续对待定边定向,可在待定边向前测常数一次,待定边定向完成后再测一次。连续三天内所测常数,任意两个互差对于60″级仪器应小于2′,20″级仪器应小于1′,最终用平均值作为改正值。以后新的定向如能够须重新测定仪器常数。

(2)待定边的陀螺定向

1)为了保证定向结果的可靠,待定边两端的测点必须设置牢固,边长不应小于30m。

2)在待定边的一个端点上安置陀螺经纬仪。在进行测站陀螺子午线方向值观测之前和之后,均应以一个测回测定待定边的方向值。前后两测回的互差,对于J2和J6经纬仪分别不得超过10″和24″。最终取用前后两次测回的平均值作为待定边的方向值。

3)测定侧重陀螺子午线方向值,并按公式计算待定边陀螺方位角。一条待定边至少独立定向两次,一次在一端测定测其前方位角;第二次是在另一端测定测其后方位角。如果条件限制,也可在其中一端测定上独立进行两次。连续两次观测中间需要20~30mm。两次独立定向所求出的陀螺方位角互差:对于60″级陀螺经纬仪应小于2′;对于20″级仪器应小于40″。

4)计算待定边的坐标方位角

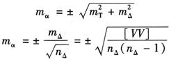
由上式知,待定边坐标方位角一次定向中误差mα取决于待定边陀螺方位角一次测定中误差mT以及仪器常数平均值中误差m,子午线收敛角误差很小,可以忽略,则:

式中 m——仪器常数二次测定中误差;

n——仪器常数测定次数;

V——仪器常数平均值与各次常数差值。

如果考虑到在已知边上测定仪器常数以及在待定边上测定陀螺方位角,均是同一台仪器、同一个人观测和相同的观测方法,属于等精度观测,在误差预计时,可取mT=m=m,则:

式中 m——陀螺经纬仪一次测定中误差;它是衡量仪器的精度标准。

可以根据多次等精度观测某一边的陀螺方位角,取其平均值与观测值的差值V,按以下公式计算一次测定中误差:

当待定边定向有多条时,可按双次独立定向的互差d,按上式得:

待定边经多次陀螺经纬仪定向,所求得的坐标方位角平均值的中误差为:

式中 nT、n——待定边陀螺方位角和仪器常数观测次数。

2.经纬仪的检验校正

陀螺经纬仪经长途运输或长期闲置后,使用前后都应检验与校正。

3.陀螺电源的检验

安装镉镍电池的特点,电池组在不使用时应处于放电状态保存。JT15型陀螺仪设备附件有放电器,充电器则与逆变器合放于电箱内。

(1)充电操作顺序

1)将开关钮扳到“充电电流”一侧。

2)选定充电电流。一般情况下,以小电流充电为最佳。

3)充电电流接通,表头指针应相应指示在“Ⅰ”或“Ⅱ”上。

4)如表针毫无反应,有可能存在下列情况,可逐一排除之:

①充电电源无电;

②充电器或电池组的保险丝熔断;

③充电器内部产生故障,送厂检修。

(2)放电与电压检查

1)放电

电池组不使用时,应将存电放掉,这时可将插在面板“输入”座上的插头拔出,移插到放电器的插座上,电池组即可开始放电。请随时观察充电器指示,终止电压为22V(不允许低于22V,以防损坏电池组)。

2)电压检查

用放电器来检查电池组的当天电压值,连接方法同上。切记不要用万用表测量电池组的电压值,那样容易引起短路而烧毁插头。

4.陀螺灵敏部的检查、校正和故障排除

陀螺灵敏部是仪器的核心部分,又是易损坏的部分。由于操作不当,受震或使用期太长,都会引起定向精度下降或出现故障。更换元部件时,必须在无尘房间内进行。

(1)悬挂带零位的检查

陀螺仪悬挂带零位的稳定性及其大小,对定向观测精度是直接相关的。一台精度稳定的陀螺仪,它的悬挂带零位必定是稳定的,且零位格值也应居于一允许范围内。所以仪器使用前应对悬挂带零位进行检查。

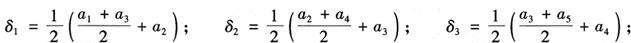
检查方法:安置陀螺仪,固定照准部;陀螺仪照明给光,下放陀螺灵敏部,观察目镜视场中光柱面在分划板上的摆动,连续读取5格逆转点读数,按下式计算出3格零位值,即:

若δ1、δ2、δ3的互差小于0.15格,则认为悬挂带零位稳定。观测时还应用秒表测定自摆周期T3,在同一地区,陀螺灵敏部的自摆周期对每台仪器应是一个变值。这也是检查仪器稳定性的一个指标。

(2)悬挂带零位的调整

悬挂带零位值一般在±0.5格内时,可不必调整,只用加零位改正值的方法消除影响,否则应调整。旋下陀螺仪上部外壳,可看到悬挂架上端有两组调整螺钉,上面一组用于调整悬挂带上端,下面一组用于调整导流丝上端。在调整之前,首先松开顶部两个固定螺丝,然后对拧校正螺钉,以调整悬挂带为主,完成四分之三的调整量,四分之一的余量由调整导流丝来完成。反复进行几次,即可达到要求。每次调整后应随即固紧顶部固定螺钉,拧好上部外罩。

(3)陀螺灵敏部工作时稳定性的检查

安置被检陀螺经纬仪,使照准部指向近似北方,按下列逐项检验:

1)陀螺不转时,下放灵敏部,用秒表测定自由摆动周期T3,反复托起,下放测定几次,周期T3不变,认为正常。否则须检查灵敏部是否有接触,排除故障。

2)锁紧灵敏部,启动电动机,达到额定转速后,下放灵敏部,用秒表测定不跟踪摆动周期T2,与此前测定值比较;无变化,认为正常。

3)用跟踪逆转点法,连续测定5格逆转点读数和跟踪摆动周期T1,摆动平衡位置最大变动,对于60″级仪器不超过1′,20″级仪器不超过30″;跟踪摆动周期T1与以前测定值相同,则认为正常。

4)从目镜观察光标面摆动,如果始终存在跳动(除初始下放的振动外),则认为陀螺电动机已呈现运动不平衡,需要更换电动机。

5)陀螺电动机消耗能量比以前增加超过规定20%以上者,或轴承磨耗严重,则需要换电动机。

5.仪器常数的检测

在理想的情况下,陀螺仪测定的子午线应与测站子午线一致。但是,实际上由于陀螺轴与陀螺仪光学系统的光轴以及经纬仪望远镜光轴,不可能在同一竖直面内,陀螺轴虽然指示出真北方向N,但这个方向须借助陀螺仪光学系统观测,最终在经纬仪水平度盘上读出方向值。因为固定在陀螺灵敏部上的反光镜法线(或光标分划板)不一定平行于陀螺轴,形成夹角△1;此外,经纬仪望远镜光轴与陀螺光学系统光轴不一致形成夹角△2,因此陀螺经纬仪测定的子午线N7与真子午线N存在一定差值,这个差值称为仪器常数△。如果陀螺仪子午线位于地理子午线的东边,△为正;反之,则为负。

仪器常数△可以在已知方位角的三角网或精密导线的一条边上安置陀螺经纬仪,测定已知边的陀螺方位角,则:

△=A0-αT

式中 A0——已知边的地理方位角;

αT——同一已知边的陀螺方位角。

也可写成:

仪器常数=地理方位角-陀螺方位角

在待定边上进行陀螺经纬仪定向的前后,都要分别在已知边上测定仪器常数。测定仪器常数应进行2~3次。各测回之间的互差JT15等型号的仪器,应不大于25″。每次测量后,要停止陀螺运转10~15min,经纬仪度盘位置应变换180°/2~180°/3。

仪器经过长途运输、长期保存或受到大的振动,仪器常数发生变化,应及时进行检测,而不必校正。对待定边的陀螺方位角加入仪器常数改正即可。

6.陀螺经纬仪使用注意要点

陀螺经纬仪是一种光、机、电结合的复杂精密仪器。工作时,陀螺灵敏部具有较大的惯性,必须合理使用,妥善保管,才能保持仪器的精度和寿命。在仪器使用时,必须注意下列事项:

1)必须在熟悉陀螺经纬仪性能的基础上,由有一定操作经验的人员来使用仪器。

2)在启动陀螺电动机达到额定转速之前和制动陀螺电动机的过程中,陀螺灵敏部必须处于锁紧状态,否则悬挂带、导流丝将受损失。

3)在陀螺灵敏部处于锁紧状态,电动机又在高速旋转时,严禁搬动和水平转动仪器。否则将产生很大的力,压迫轴承,以致损坏仪器。

4)在使用陀螺电压逆变器时,要注意接线的正确性,在没有负载时,不得开启逆变器。

5)陀螺仪存放时,要装入仪器箱内,放入干燥剂,仪器要平置存放,不要倒置和躺卧。

6)仪器应放在干燥、清洁、通风良好的环境里,切忌置于热源附近。环境温度以10~30℃为宜。

7)仪器用车辆运输时,要使用专用防震包运输。

8)在野外观测时,仪器要避免太阳光直接照射。

9)目镜或其他光学零件受污时,先用软毛刷轻轻拭去灰尘,然后用软布揩拭,以免损伤光洁度和表面涂层。

10)冬季室内外温差大时,仪器搬出室外或由室外带入室内应隔一段时间再开箱。

随便看

 

离鸟网收录3541549条中英文词条,其功能与新华字典、现代汉语词典、牛津高阶英汉词典等各类中英文词典类似,基本涵盖了全部常用中英文字词句的读音、释义及用法,是语言学习和写作的有利工具。

 

Copyright © 2004-2024 vtrois.com All Rights Reserved
更新时间:2026/4/8 3:00:10