网站首页  词典首页


请输入您要查询的字词:

 

字词 随机变量的数学期望
类别 中英文字词句释义及详细解析
释义

随机变量的数学期望


数学期望就是随机变量的按照概率规律求出的加权平均值.

一维随机变量的数学期望E(X)

1.离散型随机变量

①有限型:若X的分布律为P{X=xi}=pi,i=1,2,…,n,则X的数学期望为

②无限型:P{X=xi}=pi,i=1,2,…,

如果级数绝对收敛,则X的数学期望为

2.连续型随机变量

设X的密度函数为f(x),如果广义积分绝对收敛,则X的数学期望为

二维随机变量的数学期望

1.离散型随机变量

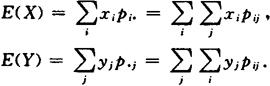
设(X,Y)的联合分布律为P{X=xi,Y=yi}=pij.两个边缘分布律分别为

P{X=xi}=pi.,P{Y=yi}=p.j

则X,Y的数学期望分别为

2.连续型随机变量

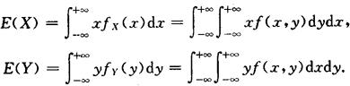
设(X,Y)的联合密度函数为f(x,y),边缘密度函数分别为fX(x),fY(y),则X,Y的数学期望分别为

函数的数学期望

1.一维随机变量

若Y=g(X),E(Y)=E[g(X)].

(1)离散型随机变量

设X的分布律为P{X=xi}=pi,则Y的数学期望为

(2)连续型随机变量

设X的概率密度函数为f(x),则Y的数学期望为

2.二维随机变量

若Z=g(X,Y),E(Z)=E[g(X,Y)].

(1)离散型随机变量

设(X,Y)的联合分布律为P{X=xi,Y=yi}=pij,则Z的数学期望为

(2)连续型随机变量

设(X,Y)的联合密度函数为f(x,y),则Z的数学期望为

数学期望的性质(假设期望存在)

(1)若C为常数,则E(C)=C.

(2)若a为常数,则E(aX)=aE(X).

(3)E(X±Y)=E(X)±E(Y).

(4)若X,Y独立,则E(XY)=E(X)E(Y).

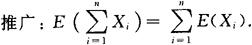
推广:若X1,X2,…,Xn相互独立,则

随便看

 

离鸟网收录3541549条中英文词条,其功能与新华字典、现代汉语词典、牛津高阶英汉词典等各类中英文词典类似,基本涵盖了全部常用中英文字词句的读音、释义及用法,是语言学习和写作的有利工具。

 

Copyright © 2004-2024 vtrois.com All Rights Reserved
更新时间:2026/4/7 6:57:18