以多个随机变量l1,l2,·,ln为其元素的列向量,称为随机向量

随机向量的期望指

随机向量的方差指
V(L)=E{(L-E(L))(L-E(L)′} (2.3-8)
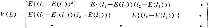
于是

主对角元素为分量方差,非主对角元素为分量间协方差。
若各分量无关,则V(L)为对角阵。反之,若V(L)为对角阵,则各分量无关。
我们有性质:若A为常数阵,则
V(AL)=A·V(L)·A′ (2.3-9)
【参考文献】:
[1]王立吉,计量学基础,中国计量出版社,1988。
[2]BIPM、IEC、IFCC,IUPAC,IUPAP,OIML,Guide to the Expression of Uncertainty in Measurement, ISO,1993.
[3]刘智敏,不确定度原理,中国计量出版社,1993。
[4]刘智敏,误差分布论,原子能出版社,1988。
[5]刘智敏,误差与数据处理,原子能出版社,1983。
[6]Liu Zhimin(刘智敏),Measurement Uncertainty and Its Correlation Combination,Proceeding of ISEM, 1993.
[7]国家计量总局量值传递处编,计量技术考核纲要,计量出版社,1981。
[8]国家技术监督局审定,刘智敏等编审,全国计量检定人员考核统一试题集第六分册三,误差及数据处理,陕西科学技术出版社,1990。