网站首页  词典首页


请输入您要查询的字词:

 

字词 随机行走假定
类别 中英文字词句释义及详细解析
释义

随机行走假定


以理性预期为基础,认为过去消费或者收入所包含的过时信息,对现期消费变化没有任何影响,现期消费变化可以经验地模拟为通过“新信息”(News)来确定的一种收入假定。

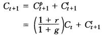
由美国经济学家霍尔(R.E.Hall)在《生命周期-持久收入假定的随机解释:理论和证据》(1978年)一文中提出。随机行走假定的提出是为了回避生命周期假定测量财富市场价格时遇到的实际数据问题,同时避开持久收入假定即弗里德曼(M.Friedman)的后顾的或称适应性预期的持久收入估算问题。在跨时最优化消费模型的基础上,引入理性预期和随机过程,可以得到如下公式:

其中,Ct是t期的消费,是t+1期的持久消费,是t+1期的暂时消费,r是实际利率,g是时间贴现率。取对数,可得到一个更为简便的近似表达式:

lnCt+1=lnCt+g+rt+1

其中,g为正或负取决于r大于还是小于g,更新项rt+1类似于,在t期的期望值为零。上式表明,如果实际消费的现值的确以一种无偏的方式纳入了消费者对持久收入的最佳估计的话,那么,消费者对持久收入的预期就是理性预期。也就是说,在缺乏“新信息”的情况下,消费将以g的速度稳定地增加或减少。

在t期或更早的时期,消费者对“新信息”一无所知,因而应该有一个变量代表消费变化率由于“新信息”的出现而偏离常量均值的幅度。在经济计量检验上,这意味着:(1)利用消费的时间序列数据对弗里德曼提出的持久消费关系式,即

进行回归将产生“随机残差”(Random Residuals)。

(2)当考虑滞后一期消费时,没有任何其他滞后变量会增加回归中的显着性。

霍尔提出的模型很好地拟合了美国非耐用消费品和服务的消费总量季度数据。

消费水平的确依赖其滞后值,但加进滞后多期的消费变量或者滞后一期或多期的收入变量并不能显着地增强模型的解释力。不过,霍尔在考虑其他几个滞后变量的作用时,却发现滞后的股票市场价格对消费的变动有解释力。

通过消费与滞后一期变量的回归来检验随机行走假定是有缺陷的,这种缺陷表现在其结果难以解释。比如,霍尔关于滞后收入对消费没有显着解释力的结论之所以成立,可能不是因为收入的可预测变化没有产生消费的可预测变化(这是随机行走假定所预言的结论),而是因为滞后收入值对预测收入变动作用不大。类似地,也很难衡量利用股票价格数据拒绝该假说的显着性。

霍尔的检验程序是富有吸引力的,因为它没有依赖于收入过程的性质,而仅仅着重考察消费及其滞后值。

但由于其缺陷,随后的研究却突出了消费和实际收入的联合考察。坎贝尔和曼昆(Campbell,John Y.,and Mankiw,N.Gregory.1989.“Consumption,Income,and Interest Rates:Reinterperting the Time Series Evidence.”NBER Macroeconomics Annual 4:185-216.)运用总量数据对霍尔假说进行了检验,他们使用了工具变量法(InstrumentalVariables Approach)以克服霍尔检验的缺陷。

假定一部分消费者仅仅花费其现期收入,而其余部分消费者则按霍尔理论行事,用λ表示前者消费的比重。在选取美国1953年~1986年的季度数据作为样本进行检验时,他们发现,收入的滞后变化对未来变化几乎没有预测力。这意味着,霍尔没有发现滞后收入变动对消费的预测力并不能成为反对传统消费理论的有力证据。于是他们用消费变化的滞后值作为工具变量并得出相应结果:当使用三期滞后值时,λ的估计值为0.42,标准误差为0.16。

当使用五期滞后值时,λ的估计值为0.52,标准误差为0.13。这意味着,在美国,大约有一半的消费是由那些仅仅花费掉其现期收入的人们所进行的,而另一半消费则是由那些按霍尔理论行事的人们所进行的。

坎贝尔和曼昆的估计在数量上很大地并在统计上显着地偏离了随机行走假定的预测,认为消费对可预料的收入变化不作任何反应的假说被强有力地驳倒了。与此同时,λ的估计值又远低于1,从而上述结果又意味着持久收入假定对理解消费还是重要的。

但是利用总量数据检验随机行走假定会存在一些缺陷,比如可能存在合成推理谬误。

基于此,美国经济学家谢伊(Shea,John.1995.“Union Contracts and the Life-Cycle/Permanent-Income Hypothesis.”American Economic Review 85(March):186-200.)从单个家庭数据的角度对随机行走假定进行了检验。他的经验估计也在数量上大大地(虽然仅在边际统计上显着地)偏离了随机行走假定的预测。谢伊还证明了这种偏离并不能由流动约束来解释。

部分消费者的消费对可预料的收入变动的“过度敏感”(Excess Sensitivity)反应表明,随机行走假定中的理性预期框架并不适合解释这部分消费者的行为,它们似乎更适合用消费者的“短视”(Short-Sighted)或“没有耐心”(Impatience,意味着较高的时间贴现率)来解释。

〖参〗流动约束

预防储蓄

缓冲存货储蓄假定

随便看

 

离鸟网收录3541549条中英文词条,其功能与新华字典、现代汉语词典、牛津高阶英汉词典等各类中英文词典类似,基本涵盖了全部常用中英文字词句的读音、释义及用法,是语言学习和写作的有利工具。

 

Copyright © 2004-2024 vtrois.com All Rights Reserved
更新时间:2026/4/7 22:04:05