网站首页  词典首页


请输入您要查询的字词:

 

字词 集总参数元件的高频参量
类别 中英文字词句释义及详细解析
释义

集总参数元件的高频参量


集总参数元件,又称分立元件,它的基本类型是电容器、电感器和电阻器。在高频情况下,由子分布参数的影响,它们实际上都是电容、电感和电阻的不同组合,只不过其中某个参量起主导作用而已。在电路中起主要作用的那个参量,称为“主参量”,起次要作用的那些参量,称为“辅参量”或“残量”。主参量和某些残量的组合,构成实际呈现的参量。下面分别介绍各类分立元件的高频参量表示形式。

1.电容器类

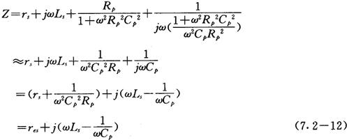
电容器的高频等效电路如图7.2-1(a)所示,图中Cp为并联形式表示的电容器的实际容量;Rp为电容器的并联损耗电阻(主要由介质及封装材料的损耗和漏电决定);rs为电容器的串联损耗电阻(主要由引线电阻、极板电阻和焊点接触电阻决定);Ls为电容器的串联分布电感或固有电感(主要由电容引线和极板决定)。由图7.2-1(a)可写出高频阻抗表达式为:

图7.2-1 电容器的(a)高频等效电路及(b)阻抗频率特性

式中res——电容器的等效串联电阻。

电容器实际呈现的阻抗模值为

如果画出电容器实际呈现的阻抗与频率的关系曲线,有如图7.2-1(b)所示的频率特性,图中r0为电容器在固有谐振频率f0时的等效电阻。由图7.2-1(b)可见,电容器在不同工作频率下所呈现的阻抗性质不同,它可以是容性阻抗,也可以是感性阻抗,也可以呈现纯电阻。

2.电感器类

高频电感线圈的等效电路如图7.2-2所示,图中L为自感;r为直流电阻;C0为分布电容;M为漏磁和互感;R为端子和匝间漏电引起的绝缘电阻;L′是与L耦合回路的等效电感;R′是与L耦合回路的等效电阻。

图7.2-2 电感线圈的高频等效电路

在图7.2-2中,主参量为L,其余各量的影响是一阶小量,分别讨论如下:

(1)绝缘电阻R的影响

如果仅考虑线匝之间绝缘不良和接线柱之间的漏电影响,图7.2-2的等效电路可简化为图7.2-3的等效电路。由图可求得实际呈现的电感为:

图7.2-3 只考虑绝缘电阻影响的电感线圈等效电路

由上式可见,随着电感线圈工作频率的增加,Lω将越来越低于L(使有效电感减小)。通常只要工作频率低于固有谐振频率的十分之一,绝缘电阻的影响可完全忽略不计。

(2)分布电容和内阻的影响

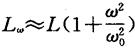
如果仅考虑线圈存在分布电容和电阻(包括线匝的金属电阻及趋肤效应引起的电阻增加),图7.2-2的等效电路可简化为图7.2-4。由图可知,实际呈现的电感为:

图7.2-4 存在内阻及分布电容的电感线圈的等效电路

可见内阻的影响随频率增加而增大,而且使有效电感减小。但在低于固有谐振频率十分之一的频率下使用时,其影响可以忽略。

如果仅考虑分布电容的影响,式(7.2-14)可简化为:

式中ω0——电感线圈的固有谐振角频率。

可以看出,分布电容的影响使有效电感增大,它是诸残量影响因素最为显着的量。

(3)屏蔽和附加磁场耦合的影响

考虑到电感线圈和屏蔽物以及周围导体间存在着电磁场耦合,图7.2-2的等效电路可以简化为图7.2-5。

图7.2-5 考虑屏蔽和磁场耦合的电感线圈等效电路

如图所示,屏蔽和周围电路的互感效应可视为一短路的线圈,当被屏蔽线圈中的电流发生变化时,在右边的回路里感应出电动势,可通过建立回路方程求得被屏蔽线圈的完全等效阻抗为:

由式可见,屏蔽和周围导体的互感效应也是使有效电感减小。

(4)涡流的影响

在图7.2-2的等效电路中,还未包括涡流影响。在工作频率增高时,电感线圈中铁芯内的涡流会使有效电感减小。

3.电阻器类

电阻器在高频时的等效电路如图7.2-6(a)所示,主要考虑三个因素,即趋肤效应和残感及分布电容。

图7.2-6 电阻器的高频等效电路

对于趋肤效应,可表示为:

Rω=R0F(ω) (7.2-17)

式中R0和Rω——低频电阻和高频电阻。

函数F(ω)由电阻材料决定。对于片状标准电阻或标准电导来说,通常使用金属蒸发膜层,其Rω可表示为:

式中D——电阻片长度(cm);b——电阻片宽度(cm):c——电阻片厚度(cm);μ——磁导率;σ——电导率。

残感和分布电容的影响可如下考虑:当分布电容的作用大于残感时,可把它们合并为一个并联分布电容Cep,如图7.2-6(b)、(c)所示;当残感的作用大于分布电容时,可把它们合并为一个串联残感Les,如图7.2-6(d)、(e)所示。由图可导出:

Les=Ls-R2Cp (7.2-20)

由式(7.2-19)和(7.2-20)可知,1)Les、Cep仅与Ls、Cp、R有关,而与工作频率基本无关(这里假定R与频率基本无关)。2)Les、Cep在任何频率下不会为零,也就是说,电阻器的残感和分布电容不具有谐振性质。3)分布电容和残感互相抵消,使它们综合在一起时的影响减小。

【参考文献】:

[1]王立吉、金国钧编着,高频电压的计量测试,计量出版社,1986。

[2]李世雄、彭幼伯等编着,低频电压的计量测试,计量出版社,1988。

[3]冯新善、吴幼璋等编着,高频、微波功率的计量测试,计量出版社,1987。

[4]张关汉、李光仪等编着,高频集总参数阻抗的计量测试,计量出版社,1986。

[5]胡希平、李湘编着,微波阻抗与反射的计量测试,计量出版社,1988。

[6]蔡新泉、关志仁等编着,高频、微波噪声的计量测试,计量出版社,1988。

[7]郭允晟、苏秉炜等编着,脉冲参数与时域测量技术,计量出版社,1989。

[8]吴毅、都世民等编着,高频、微波场强和干扰的计量测试,计量出版社,1986。

[9]谢上次、徐燕清编着,高频、微波相移的计量测试,计量出版社,1992。

[10]艾明、吴达慎等编着,失真与调制参数的计量测试,计量出版社,1989。

[11]黄福芸等主编,计量知识手册,中国林业出版社,1986。

[12]陈国瑞、华荣喜等编,工程电磁场与电磁波,西北工业大学出版社,1990。

[13]Ghose,R.N.,Microwave Circuit Theory and Analysis,McGraw-Hill Book Company,Inc.,1963。

随便看

 

离鸟网收录3541549条中英文词条,其功能与新华字典、现代汉语词典、牛津高阶英汉词典等各类中英文词典类似,基本涵盖了全部常用中英文字词句的读音、释义及用法,是语言学习和写作的有利工具。

 

Copyright © 2004-2024 vtrois.com All Rights Reserved
更新时间:2026/4/9 0:14:30