网站首页  词典首页


请输入您要查询的字词:

 

字词 非正弦周期电路
类别 中英文字词句释义及详细解析
释义

非正弦周期电路


1.非正弦周期波产生的原因

①电源电压或电流为非正弦波。

②电路中存在非线性元件。

2.非正弦周期波的表示法

(1)傅里叶级数表示法

几个不同频率的正弦波之和是非正弦周期波。那么一个非正弦周期波能否分解为若干不同频率的正弦波呢?

数学上证明,如果给定的函数是周期性的,同时又满足狄里赫利条件,都可以分解为傅里叶级数。

周期为T的函数f(t)分解成的傅里叶级数为:

f(t)=A0+Am1sin(ωt+φ1)+Am2sin(2ωt+φ2)+…+Amksin(kωt+φk)

即:

式中

第一项A0称为f(t)的直流分量;

第二项Am1sin(ωt+φ1)称为f(t)的基波分量,也称“一次谐波”;

第三项Am2sin(2ωt+φ2)称为f(t)的“二次谐波”;……

第k项Amksin(kωt+φk)称为f(t)的“k次谐波”。

几种常见的周期函数(信号)的傅里叶级展开式列于表2-1中。

表2-1 常用信号的傅里叶级数展开式

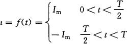
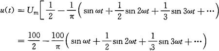
[例2-45] 已知矩形周期电流波形,如图2-54所示。

图2-54 矩形周期电流波形

求f(t)的傅里叶级数展开式。

[解] 查表2-1可得

不难看出,矩形波的前半周波形移动半个周期,与后半周期的波形互为镜像,即对横轴对称。我们把这样的函数叫做“半波对称函数”。

凡半波对称函数,其展开式中不含直流分量和偶次谐波。

(2)频谱表示法

用一些长度与基波和各次谐波振幅相对应的线段按频率高低顺序排列起来,这种图叫振幅频谱图。

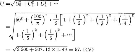
3.非正弦周期波的最大值、有效值和平均值

(1)最大值

非正弦周期波的最大值是一个周期内的最大瞬时值的绝对值。在工程中常要用到它。例如电容器的耐压就要考虑电压的最大值。

(2)有效值

周期性变化的电流的有效值在数值上等于这样一个直流,即当它通过一电阻R时,一个周期内所产生的热量等于这个直流在相等时间内通过R所产生的热量。其定义式为:

类似,非正弦周期电压的有效值为:

与各次谐波的关系

式中 I——非正弦周期电流的有效值(A);

I0——非正弦周期电流的直流分量(A);

I1,I2,…,Ik——非正弦周期电流的各次谐波电流的有效值(A)。

(3)平均值

一个周期内函数绝对值的平均值称为该周期函数的平均值。

4.非正弦周期性电流电路的功率

(1)瞬时功率

瞬时功率等于电压和电流瞬时值的乘积,即:

p=ui (2-245)

(2)平均功率

非正弦周期电流在一个周期内的平均功率(简称功率)指一个周期内消耗在线性电路中的电能与消耗这电能所经过的时间之比,即:

与各次谐波的关系

P=P0+P1+P2+…+Pk (2-247)

由此可见非正弦周期电流电路的平均功率等于各次谐波的平均功率之和。

式中 P——非正弦周期电流电路的平均功率(W);

P0——非正弦周期电流电路的平均功率的直流分量(W);

P1,P2…Pk——非正弦周期电流电路的各次谐波分量的平均功率(W)。

(3)视在功率

电路两端非正弦周期电压有效值与电路中非正弦周期电流有效值的乘积叫做该电路的视在功率,用符号S表示。即:

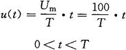
[例2-46] 图2-55为锯齿波的图形,其中Um=100V,求该锯齿波的有效值和平均值。

图2-55 锯齿波

[解] 本题的锯齿波

锯齿波的瞬时值

由表2-1可得锯齿波的傅里叶级数为:

各次谐波的有效值

锯齿波的有效值

引起误差的原因是只取了前面几项,省略了U6以后的各项。

锯齿波的平均值

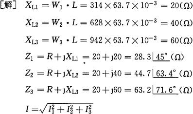
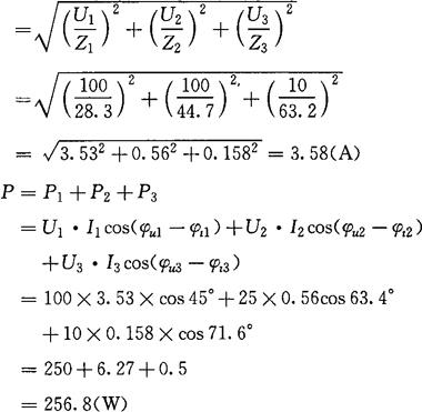
[例2-47] 如图2-56所示,一个R,L串联电路接在一电压u上,

图2-56

已知R=20Ω,L=63.7mH,试求电路中电流的有效值及电路消耗的功率。

随便看

 

离鸟网收录3541549条中英文词条,其功能与新华字典、现代汉语词典、牛津高阶英汉词典等各类中英文词典类似,基本涵盖了全部常用中英文字词句的读音、释义及用法,是语言学习和写作的有利工具。

 

Copyright © 2004-2024 vtrois.com All Rights Reserved
更新时间:2026/4/7 16:52:40