网站首页  词典首页


请输入您要查询的字词:

 

字词 面包的检验
类别 中英文字词句释义及详细解析
释义

面包的检验


(一)样品的采集与预处理

1.采样

采取1kg含脂肪少的面包样品,或0.5kg含油脂较多的样品,然后用对角线取2/4或2/6或根据样品取有代表性样品,在玻璃乳钵中研碎,混合均匀后放置广口瓶内保存于冰箱中。

2.样品预处理

含油脂少的面包:称取250~300g,混合均匀后,于500mL具塞锥形瓶中,加入适量石油醚。浸泡样品,放置过夜,用快速滤纸过滤后,减压回收溶剂,得到油脂,供测定酸价、过氧化值用。

(二)感官检验

依据产品标准,凭视觉、味觉、嗅觉鉴定。

(三)理化检验

1.水分测定

面包取破碎的面包心3~4g,放入已知恒重的称量瓶中,按第二章第一节“水分测定”方法测定。

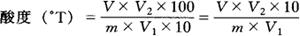
2.酸碱度的测定(QB 1252-1991)

面包的酸(碱)度是指中和100g面包样品中酸(碱)所需1mol/L碱(酸)液的毫升数。

操作步骤:剖去面包皮,将面包心(如有夹馅、果料应完全分出)撕碎,充分混合均匀,准确称取25g,置于250mL容量瓶中,加入100mL水,振摇2min,于室温下静置10min,再振摇2min,加水至刻度,摇匀。

用纱布将上清液过滤,弃去最初10mL滤液。取滤液50mL,置于200mL烧杯中,加入酚酞指示剂2~3滴,以0.1mol/L氢氧化钠标准液滴定至稍显粉红色于0.5min内不消失为终点。

计算:

式中 V——面包定容总体积(mL);

V1——测定时取样品稀释液体积(mL);

V2——0.1mo1/L氢氧化钠标准液消耗体积(mL);

m——样品质量(g)。

一般面包的酸度为3~9°T,不得超过10°T。两次测定结果之差应小于0.1°T。

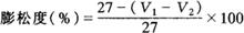
3.膨松度的测定

面包心中气孔总体积的百分数称为面包的膨松度。多孔而柔软的面包易消化、吸收,所以膨松度大,面包质量好。

操作步骤:在面包心上,于膨松度最典型的地方(应距表皮不少于1cm),用刀切成每边长3cm的立方体小块。将立方体分成数份,挤压成无气的小粒,置于盛有煤油至一定刻度的量筒中,按着液面的增高,判断压缩面包块的体积。按以下公式计算面包的膨松度。

计算:

式中 V1——压缩面包块与煤油体积的毫升数(mL);

V2——煤油体积的毫升数(mL)。

小麦粉制成的面包,膨松度不应低于60%。

4.粗蛋白、脂肪、糖的测定方法

参见第二章第一节。

5.酸价、过氧化值、铅、砷、食品添加剂、黄曲霉毒素B、(非强制性执行标准)的测定

参见第二章第二节。

6.比体积测定

方法一:(QB 252-1991)法。

方法二:取一代表性面包,称重后放入一定体积的容器中,将小颗粒填充剂(如小米或菜籽),加入容器摇实,用直尺将填充剂刮平,取出面包,将小颗粒填充剂倒入量筒量出体积,容器体积减去填充剂体积得面包体积,有关测量仪器见4-2-33。

图4-2-33 MTJ-1型面包体积测定示意图

比体积测定结果计算到小数点后一位,第二位四舍五入。两次试验允许误差不超过0.1,取其平均数,即为测定结果。

7.重量的测定

用感量为0.1g的天平或台秤称量后,与标准对照。

(四)微生物检验

微生物检验参见第二章第三节。

随便看

 

离鸟网收录3541549条中英文词条,其功能与新华字典、现代汉语词典、牛津高阶英汉词典等各类中英文词典类似,基本涵盖了全部常用中英文字词句的读音、释义及用法,是语言学习和写作的有利工具。

 

Copyright © 2004-2024 vtrois.com All Rights Reserved
更新时间:2026/4/8 5:42:26