网站首页  词典首页


请输入您要查询的字词:

 

字词 面积测算方法与精度要求
类别 中英文字词句释义及详细解析
释义

面积测算方法与精度要求


1.坐标解析法

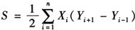
1)根据界址点坐标成果表上数据,按下式计算面积。

式中 S——面积(m2);

Xi——界址点的纵坐标(m);

Yi——界址点的横坐标(m);

n——界址点个数;

i——界址点序号,按顺时针方向顺编。

2)面积中误差按下式计算。

式中 ms——面积中误差(m2);

mj——相应等级界址点规定的点位中误差(m);

Di-1,i+1——多边形中对角线长度(m)。

2.实地量距法

1)规则图形,可根据实地丈量的边长直接计算面积;不规则图形,将其分割成简单的几何图形,然后分别计算面积。

2)面积误差按规定计算,其精度等级的使用范围,由各城市的房地产行政主管部门根据当地的实际情况决定。

3.图解法

图上量算面积,可选用求积仪法、几何图形法等方法。图上面积测算均应独立进行两次。

两次量算面积较差不得超过下式规定:

式中 △S——两次量算面积较差(m2);

S——所量算面积(m2);

M——图的比例尺分母。

使用图解法量算面积时,图形面积不应小于5cm2。图上量距应量至0.2mm。

随便看

 

离鸟网收录3541549条中英文词条,其功能与新华字典、现代汉语词典、牛津高阶英汉词典等各类中英文词典类似,基本涵盖了全部常用中英文字词句的读音、释义及用法,是语言学习和写作的有利工具。

 

Copyright © 2004-2024 vtrois.com All Rights Reserved
更新时间:2026/4/9 12:28:48